산림기사 2023년 2회 필기 조림학 1~20번
1번 ⭐⭐⭐ (빈출도: 높음)
문제: 조림수종을 선택하는 요건 중 틀린 것은?
보기:
- ① 성장속도가 빠르고 재적생장량이 높은 것
- ② 위해에 대하여 저항력이 강한 것
- ③ 가지가 굵고 길며, 줄기가 곧은 것
- ④ 산물의 이용가치가 높고 수요량이 많은 것
정답: ③
해설: 조림수종 선택 요건은 ①②④가 맞다. ③은 조림수종의 특성이 아니라 부정적인 특성으로, 가지가 굵고 길며 줄기가 곧지 않으면 목재의 품질이 떨어진다. 따라서 선택 시 가지가 가늘고 짧으며 줄기가 곧은 것을 선택해야 한다.
암기팁: 조림수종 선택 3대 원칙 = 빠른 성장 + 저항력 강함 + 높은 이용가치
2번 ⭐⭐⭐ (빈출도: 높음)
문제: 잡목림 3ha를 개벌하고 이곳에 1~3년생 잣나무를 2m×3m 장방형으로 조림하고자 한다. 필요한 묘목수는?
보기:
- ① 3,000주
- ② 4,000주
- ③ 5,000주
- ④ 6,000주
정답: ③
해설: 묘목수 = 면적(m²) ÷ (식재간격 × 식재간격)
- 3ha = 30,000m²
- 30,000 ÷ (2 × 3) = 30,000 ÷ 6 = 5,000주
암기팁: 묘목수 계산 = 면적(m²) ÷ 식재간격의 곱 / 1ha = 10,000m²
3번 ⭐⭐⭐ (빈출도: 높음)
문제: 다음 접목 방법 중 소나무류에서 주로 실시하는 것은?
보기:
- ① 절접
- ② 할접
- ③ 박접
- ④ 아접
정답: ②
해설:
- 할접 = 소나무, 잣나무 등 침엽수에 주로 사용
- 절접 = 감, 밤 등 활엽수
- 박접 = 연속적인 생장이 필요한 경우
- 아접 = 응급 복구용
암기팁: 침엽수는 할접! "소나무 할접" 외워두기
4번 ⭐⭐ (빈출도: 중간)
문제: 학명에 대한 설명 중에서 틀린 것은?
보기:
- ① 종명은 대문자로 쓴다.
- ② 사용하는 언어는 라틴어이거나 라틴어화하여 사용해야 한다.
- ③ 속명과 명명자 이름은 모두 대문자로 쓴다.
- ④ 품종표기는 명명자 다음에 온다.
정답: ③
해설:
- 학명 구성: 속명(대문자) + 종명(소문자) + 명명자명(소문자)
- 예: Pinus densiflora Sieb. et Zucc.
- ③ 명명자 이름은 소문자로 표기
암기팁: 속명은 大 / 종명과 명명자명은 小
5번 ⭐⭐ (빈출도: 중간)
문제: 온도가 식물에 끼치는 영향에 대한 설명으로 틀린 것은?
보기:
- ① 월평균온도에 있어서 5℃ 이상의 값을 적산한 값을 온량지수라 한다.
- ② 산간에서 흐르는 찬물로 관개를 하면 위조가 올 수 있다.
- ③ 환경이 제한으로 받게 되는 휴면을 타발휴면이라 한다.
- ④ 많은 식물의 경우 광합성에 대한 최적온도는 최적호흡에 대한 최적온도보다 높다.
정답: ④
해설:
- 광합성의 최적온도: 약 25~30℃
- 호흡의 최적온도: 약 35~40℃
- ④는 반대이므로 틀림 (호흡이 광합성보다 높은 온도에서 최적)
암기팁: 호흡 > 광합성 온도 / 타발휴면 = 환경제한 휴면
6번 ⭐⭐⭐ (빈출도: 높음)
문제: 가지치기의 주 효과가 아닌 것은?
보기:
- ① 직경 생장을 증대한다.
- ② 무절 완만재를 생산한다.
- ③ 지엽에 부식되어 토양비옥도를 높인다.
- ④ 산림의 여러 가지 해를 예방한다.
정답: ③
해설:
- 가지치기의 효과: 직경생장 증대, 무절재 생산, 병해충 예방
- ③ "지엽에 부식되어"는 가지치기의 목적이 아님
- 가지치기한 가지가 흙으로 돌아가는 것은 별개 효과
암기팁: 가지치기의 3대 효과 = 직경↑ + 무절재 + 해충방지 / ③번이 함정
7번 ⭐⭐⭐ (빈출도: 높음)
문제: 파종상실면적 500m², 묘목잔존본수 1,000본/m², 1g당 종자 평균입수 60립, 순량률 0.90, 실험실발아율 0.90, 묘목잔존율을 0.4로 가정할 때의 파종량은?
보기:
- ① 25.7kg
- ② 28.2kg
- ③ 28.7kg
- ④ 29.2kg
정답: ①
해설: 파종량(kg) = (필요 묘목수) ÷ (1g당 입수 × 순량률 × 발아율 × 잔존율) ÷ 1,000
필요 묘목수 = 500m² × 1,000본/m² = 500,000본
파종량 = 500,000 ÷ (60 × 0.90 × 0.90 × 0.4) ÷ 1,000 = 500,000 ÷ 19.44 ÷ 1,000 = 25.7kg
암기팁: 파종량 계산 공식 반드시 숙지 / 각 계수 곱하기 잊지 말기
8번 ⭐⭐ (빈출도: 중간)
문제: 수종간 접목의 친화력(親和力)이 식물계통상 가장 가까운 것은?
보기:
- ① 이속간(理屬間)
- ② 이과간(理科間)
- ③ 동속이종간(同屬異種間)
- ④ 동종이품종간(同種異品種間)
정답: ④
해설: 친화력 순서 (강~약): ④ > ③ > ① > ②
- ④ 동종이품종간: 같은 종 다른 품종 (가장 친화력 강함)
- ③ 동속이종간: 같은 속 다른 종
- ① 이속간: 다른 속
- ② 이과간: 다른 과 (가장 친화력 약함)
암기팁: 친화력 = 유연성이 가까울수록 강함 / 품종 > 종 > 속 > 과
9번 ⭐⭐⭐ (빈출도: 높음)
문제: 임지의 지위지수(Site Index)를 평가하는 방법에 대하여 바르게 기술하고 있는 것은?
보기:
- ① 특정 임령에서 그 임분의 우세목의 재적으로 지위지수를 결정한다.
- ② 특정 임령에서 그 임분의 우세목의 수고로 지위지수를 결정한다.
- ③ 특정 임령에서 그 임분의 전체 축적으로 지위지수를 결정한다.
- ④ 특정 임령에서 그 임분을 구성하는 우세목과 열세목의 평균직경으로 지위지수를 결정한다.
정답: ②
해설:
- 지위지수 = 특정 임령(보통 20년, 50년)에서 우세목의 수고로 결정
- 재적이나 축적은 경영방식에 따라 변하므로 사용 불가
- 수고는 임령에만 좌우되므로 가장 객관적
암기팁: 지위지수 = 우세목의 수고 / 일정 임령에서 측정
10번 ⭐⭐⭐ (빈출도: 높음)
문제: 제벌(除伐)의 실행에 관한 설명 중 옳은 것은?
보기:
- ① 일반적으로 수관간의 경쟁이 시작되고 조림목의 생육이 저해되는 시점이 적정시기이다.
- ② 낙엽송은 식재 후 15년 정도가 적정시기이다.
- ③ 생육 휴면기인 겨울철이 적정시기이다.
- ④ 침입수종 제거가 목적으로 조림목은 원칙적으로 제거하지 않는다.
정답: ①
해설:
- 제벌 적정시기 = 수관경쟁 시작, 조림목 생육 저해될 때
- ② 낙엽송은 10~12년
- ③ 겨울철은 사목이 많아서 부적절 (생육기가 더 나음)
- ④ 침입수종 제거도 하고, 조림목도 제거함
암기팁: 제벌 타이밍 = 수관경쟁 시작 / 생육기(여름) 실시
11번 ⭐⭐ (빈출도: 중간)
문제: 파종 1개월 정도 전에 노천매장하여 발아촉진에 도움이 되는 수종은?
보기:
- ① 소나무
- ② 잣나무
- ③ 느티나무
- ④ 은행나무
정답: ①
해설:
- 소나무: 노천매장(습층적층) 필요 → 발아 촉진
- 잣나무, 느티나무, 은행나무: 특별한 전처리 불필요
- 소나무 종자는 경피증과 배아휴면이 강해서 전처리 필수
암기팁: 소나무 종자 = 노천매장 필수 / 습층적층
12번 ⭐⭐ (빈출도: 중간)
문제: 다음 중 수목종자의 표준품질기준에서 효율이 가장 높은 수종은?
보기:
- ① 주목
- ② 잣나무
- ③ 소나무
- ④ 은행나무
정답: ③
해설:
- 종자 효율 = 순량률 × 발아율
- 소나무: 순량률 50~60%, 발아율 80~90% → 효율 높음
- 주목: 효율 낮음 (부패 많음)
- 잣나무, 은행나무: 중간 수준
암기팁: 소나무 종자 품질 기준이 모범 / 효율 순위: 소나무 > 잣나무 > 은행나무
13번 ⭐⭐ (빈출도: 중간)
문제: 수목 호르몬인 지베렐린에 대한 설명으로 틀린 것은?
보기:
- ① 벼의 키다리병을 일으키는 곰팡이에서 처음 추출된 호르몬이다.
- ② 거의 모든 지베렐린은 알칼리성을 띈다.
- ③ 줄기의 신장을 촉진한다.
- ④ 개화 및 결실을 돕는 역할을 한다.
정답: ②
해설:
- ① 맞음: 키다리병균(Gibberella fujikuroi)에서 발견
- ③ 맞음: 줄기 신장 촉진 호르몬
- ④ 맞음: 개화·결실 촉진
- ② 틀림: 지베렐린은 산성 (약산성)
암기팁: 지베렐린 특성 = 키다리병 곰팡이 유래, 줄기↑, 개화↑ / 산성 특징
14번 ⭐⭐ (빈출도: 중간)
문제: 판갈이(상체) 밀도에 대한 설명 중 옳은 것은?
보기:
- ① 묘목이 클수록 밀식한다.
- ② 양수는 음수보다 밀식한다.
- ③ 땅이 비옥할수록 소식한다.
- ④ 잎과 가지가 확장하는 것은 밀식한다.
정답: ③
해설:
- ① 틀림: 큰 묘목은 소식 (공간 필요)
- ② 틀림: 음수가 밀식 (양수는 공간 필요)
- ③ 맞음: 비옥한 땅은 양분이 충분하므로 소식 가능
- ④ 틀림: 밀식하면 잎과 가지가 축소됨
암기팁: 비옥한 땅 = 소식 가능 / 큰 묘목, 양수 = 소식
15번 ⭐⭐ (빈출도: 중간)
문제: 수목과 건조한 환경에 대한 설명으로 옳지 않은 것은?
보기:
- ① 일반적으로 내건성 수목은 얕고 넓은 근계를 형성한다.
- ② 내건성이란 건조한 환경에 견딜수 있는 능력을 말한다.
- ③ 내건성 수종은 주로 소나무, 은행나무, 상수리나무 등이 있다.
- ④ 건조한 지역에서 자라는 수목은 각피층이 두껍고, 증산량이 낮은 경엽을 가지고 있다.
정답: ①
해설:
- ① 틀림: 내건성 수목은 깊고 좁은 근계 형성 (심근 체계)
- ② 맞음: 내건성의 정의
- ③ 맞음: 소나무, 은행나무, 참나무류 등이 내건성 종
- ④ 맞음: 각피층 두꺼움, 증산 억제
암기팁: 내건성 수목의 근계 = 깊고 좁음 (심근) / 표면: 굵은 껍질+작은 잎
16번 ⭐⭐ (빈출도: 중간)
문제: 천연림보육에 대한 설명으로 옳지 않은 것은?
보기:
- ① 하층임분은 특별한 이유가 없는 한 그대로 둔다.
- ② 미래목은 장차 미래에 효용가치가 있고 실생목보다 맹아목을 우선적으로 고려하여 선정하는 것이 좋다.
- ③ 세력이 너무 왕성한 보호목은 가지를 제거하여 그 세력을 줄이고 미래목의 생장에 영향이 없다.
- ④ 상층목의 생육공간을 확보해주기 위하여 수관경쟁을 하고 있는 불량형질목과 가치가 낮은 임목은 제거한다.
정답: ②
해설:
- ② 틀림: 미래목 선정 시 실생목을 우선, 맹아목은 차선
- 실생목이 형질 우수, 생장 좋음
- 맹아목은 보조적으로만 고려
암기팁: 천연림 미래목 선정 = 실생목 우선 / 가지 제거로 보호목 세력 조절 가능
17번 ⭐⭐ (빈출도: 중간)
문제: 지하자엽형으로 발아하는 수종으로만 짝지어진 것은?
보기:
- ① 개암나무, 양버즘나무
- ② 단풍나무, 물푸레나무
- ③ 버즘나무, 아까시나무
- ④ 호두나무, 상수리나무
정답: ④
해설:
- 지하자엽형: 자엽이 흙 속에 남음 (호두, 상수리, 도토리 등)
- 지상자엽형: 자엽이 지표면 위로 나옴
- 개암나무: 지상자엽
- 양버즘나무: 지상자엽
- 단풍나무: 지상자엽
- 버즘나무: 지상자엽
- 아까시나무: 지상자엽
암기팁: 지하자엽 = 호두, 상수리, 도토리 / 나머지는 대부분 지상자엽
18번 ⭐⭐ (빈출도: 중간)
문제: 덩굴제거 방법으로 옳지 않은 것은?
보기:
- ① 줄기를 제거하거나 뿌리를 굴취한다.
- ② 약제주입기로 글라신액제를 대상 덩굴에 주입하고 고사시킨다.
- ③ 디캄바액제는 비선택성 제초제로 일반적인 덩굴류에 적용한다.
- ④ 주로 칡, 다래, 머루 같은 덩굴류가 무성한 지역을 대상으로 한다.
정답: ③
해설:
- ③ 틀림: 디캄바액제는 선택성 제초제
- 비선택성 제초제는 글리포세이트 (라운드업 등)
- ①②④는 모두 맞는 덩굴제거 방법
암기팁: 디캄바 = 선택성 / 글리포세이트 = 비선택성
19번 ⭐⭐ (빈출도: 중간)
문제: 중림작업에 대한 설명으로 옳은 것은?
보기:
- ① 교림작업과 왜림작업의 혼합림 작업이다.
- ② 교림작업과 중림작업의 혼합림 작업이다.
- ③ 교림작업과 순림작업의 혼합림 작업이다.
- ④ 교림작업과 치수림작업의 혼합림 작업이다.
정답: ①
해설:
- 중림작업 = 교림(高林) + 왜림(矮林) 혼합
- 상층: 고목(교림) 생산
- 하층: 작은 나무(왜림) 생산 + 가지 채취
- 우리나라 전통 임업 형태
암기팁: 중림 = 교림 + 왜림 / 위 층은 큰 나무, 아래 층은 작은 나무
20번 ⭐⭐⭐ (빈출도: 높음)
문제: 묘목 잎의 엽록소 형성에 미치는 영향이 가장 작은 영양소는?
보기:
- ① B
- ② N
- ③ Fe
- ④ Mg
정답: ①
해설:
- 엽록소 구성 원소: Mg (마그네슘) 중심, N(질소)·Fe(철)도 필요
- 각 역할:
- Mg: 엽록소 분자 중심
- N: 엽록소 및 단백질 구성
- Fe: 엽록소 합성 촉매
- B: 당의 이동·전류 → 엽록소와 직접 관계 적음
암기팁: 엽록소 = Mg가 중심 / B는 영향 가장 적음 / 순서: Mg > N > Fe > B
산림기사 2023년 2회 필기 산림보호학 21~40번
21번 ⭐⭐⭐ (빈출도: 높음)
문제: 밤나무 줄기마름병의 방제방법으로 옳지 않은 것은?
보기:
- ① 내병성 품종을 식재한다.
- ② 질소질 비료를 많이 준다.
- ③ 동해 및 볕데기를 막고 상처가 나지 않게 한다.
- ④ 천공성 해충류의 피해가 없도록 살충제를 살포한다.
정답: ②
해설:
- 밤나무 줄기마름병은 피휴마나무병균(Phytophthora)에 의한 병
- 방제법: ①③④가 맞음
- ② 틀림: 질소질 비료를 많이 주면 새로운 잎이 많아져 감염 위험 증가
- 질소는 제한하거나 칼리·인산 비료 증시
암기팁: 밤나무 줄기마름병 = 상처 예방 + 질소 제한 / 내병성 품종 선택
22번 ⭐⭐⭐ (빈출도: 높음)
문제: 솔잎혹파리 및 솔껍질깍지벌레 구제를 위하여 수간주사에 사용되는 살충제는?
보기:
- ① 포스팜 액제
- ② 테부코나졸 액제
- ③ 페니트로티온 수화제
- ④ 디플루벤주론 수화제
정답: ①
해설:
- 포스팜 (phosphamidon): 유기인계 살충제 → 수간주사용
- 솔잎혹파리, 솔껍질깍지벌레의 주요 방제약
- 테부코나졸: 살균제 (Fenarimol 계열)
- 페니트로티온: 살충제이나 수간주사 아님
- 디플루벤주론: 곤충 생장조절제
암기팁: 포스팜 = 솔잎 해충 수간주사 / 유기인계 살충제
23번 ⭐⭐⭐ (빈출도: 높음)
문제: 온도가 높은 여름에 비교적 건조한 토양에서 피해가 큰 모잘록병균으로 옳은 것은?
보기:
- ① Fusarium균
- ② Cercospora균
- ③ Microsphaera균
- ④ Cylindrocladium균
정답: ①
해설:
- 모잘록병 (Damping-off): 유묘 기부가 고사하는 병
- Fusarium균: 높은 온도와 건조 조건에서 활발
- Cercospora: 엽반점병 원인균
- Microsphaera: 흰가루병 원인균 (Erysiphales)
- Cylindrocladium: 입고병 원인균
암기팁: 모잘록병 + 여름 + 건조 = Fusarium / 유묘 기부 고사
24번 ⭐⭐⭐ (빈출도: 높음)
문제: 우리나라 소나무에 피해를 주는 소나무재선충병의 매개충은?
보기:
- ① 알락하늘소
- ② 미끈이하늘소
- ③ 솔수염하늘소
- ④ 남방수염하늘소
정답: ③
해설:
- 소나무재선충병: 소나무재선충(Bursaphelenchus xylophilus) 매개
- 매개충: 솔수염하늘소(Monochamus alternatus)
- 이 하늘소가 성충이 되어 새로운 나무로 이동할 때 선충 전파
- 알락하늘소: 다른 하늘소
암기팁: 소나무재선충병 = 솔수염하늘소 / 반드시 암기하기
25번 ⭐⭐⭐ (빈출도: 높음)
문제: 잣나무 털녹병의 중간기주는?
보기:
- ① 송이풀
- ② 향나무
- ③ 신갈나무
- ④ 매발톱나무
정답: ①
해설:
- 잣나무 털녹병: 녹병(Rust disease)의 일종
- 주기주: 잣나무
- 중간기주: 송이풀 (호스트 바꿈)
- 녹병은 침엽수-초본 식물 간 중간기주 이동
- 향나무는 다른 녹병의 중간기주
암기팁: 잣나무 털녹병 = 중간기주 송이풀 / 녹병은 2개 기주 필요
26번 ⭐⭐ (빈출도: 중간)
문제: 오리나무잎벌레의 월동 형태와 장소는?
보기:
- ① 알로 지피물 밑에서
- ② 성충으로 땅속에서
- ③ 번데기로 수피 사이에서
- ④ 유충으로 나뭇잎 아래에서
정답: ②
해설:
- 오리나무잎벌레: 해충으로 오리나무 피해
- 월동형태: 성충
- 월동장소: 땅속
- 봄에 지표면으로 나와 산란
- 연 3~4회 발생
암기팁: 오리나무잎벌레 = 성충 월동, 땅속 / 봄에 지표면 출현
27번 ⭐⭐ (빈출도: 중간)
문제: 아까시잎혹파리에 대한 설명으로 옳지 않은 것은?
보기:
- ① 1년에 5~6회 발생한다.
- ② 원산지는 북아메리카이다.
- ③ 땅속에서 성충으로 월동한다.
- ④ 주로 흰가루병과 그을음병을 동반한다.
정답: ③
해설:
- 아까시잎혹파리(Obolodiplosis robiniae): 외래 침입 해충
- ①② 맞음
- ④ 맞음: 진딧물 배설물로 그을음병, 흰가루병 발생
- ③ 틀림: 번데기로 월동 (땅속), 성충 아님
- 성충은 생존 기간 짧음
암기팁: 아까시잎혹파리 = 번데기로 월동(땅속) / 다발생(5~6회/년)
28번 ⭐⭐⭐ (빈출도: 높음)
문제: 녹병의 방제방법으로 틀린 것은?
보기:
- ① 병든 나무 소각
- ② 중간기주 제거
- ③ 보르도액 살포
- ④ 주론수화제 살포
정답: ④
해설:
- 녹병(Rust disease) 방제법:
- ① 병든 나무 소각 (맞음)
- ② 중간기주 제거 (맞음) - 녹병은 2개 기주 필요
- ③ 보르도액 살포 (맞음) - Cu 살균제
- ④ 주론수화제 (틀림): 줄기주사제, 녹병 방제 약제 아님
- 녹병 방제약: 보르도액, 석회황합제 등
암기팁: 녹병 방제 = 소각 + 중간기주 제거 + 보르도액 / 주론은 다른 용도
29번 ⭐⭐ (빈출도: 중간)
문제: 다음 중 선충의 분류학상 위치는?
보기:
- ① 선형동물문
- ② 강장동물문
- ③ 편형동물문
- ④ 윤형동물문
정답: ①
해설:
- 선충(Nematoda): 선형동물문에 속함
- 특징: 몸이 원형, 기생성 높음
- 강장동물문(Nemathelminthes): 과거 분류명 (현재는 선형동물문)
- 편형동물: 플래나리아, 촌충 등
- 윤형동물: 지렁이 등
암기팁: 선충 = 선형동물문(Nematoda) / 원형 기생충
30번 ⭐⭐ (빈출도: 중간)
문제: 파이토플라즈마에 의한 수병으로 옳지 않은 것은?
보기:
- ① 붉나무 빗자루병
- ② 벚나무 빗자루병
- ③ 대추나무 빗자루병
- ④ 오동나무 빗자루병
정답: ②
해설:
- 파이토플라즈마(Phytoplasma): 식물의 빗자루병 원인
- ①③④: 파이토플라즈마 질병 (맞음)
- ② 벚나무 빗자루병: 곰팡이(특정 Taphrina 속) 원인
- 벚나무 빗자루병은 파이토플라즈마 아님
암기팁: 파이토플라즈마 빗자루병 ≠ 벚나무 / 벚나무는 곰팡이병
31번 ⭐⭐⭐ (빈출도: 높음)
문제: 산림해충의 임업적 방제법에 속하지 않는 것은?
보기:
- ① 내충성 품종으로 조림하여 피해 최소화
- ② 혼효림 조성하여 생태계의 안정성 증가
- ③ 천적을 이용하여 유용식물 피해 규모 경감
- ④ 임목밀도를 조절하여 건전한 임목으로 육성
정답: ①
해설:
- 산림해충 방제법 분류:
- 임업적 방제: ②③④ (재배·생태 기반)
- 화학적 방제: 농약 살포
- 물리적 방제: 수작업, 포획 등
- 생물적 방제: 천적, 병원미생물
- ① 내충성 품종: 육종·개량 방법 → 임업적 방제 범위 밖
암기팁: 임업적 방제 = 혼효림 + 천적 + 밀도조절 / 내충성 품종은 육종
32번 ⭐⭐⭐ (빈출도: 높음)
문제: 수목의 잎을 가해하는 곤충이 아닌 것은?
보기:
- ① 대벌레
- ② 솔나방
- ③ 참나무재주나방
- ④ 박쥐나방
정답: ④
해설:
- 잎을 가해하는 해충들:
- ① 대벌레: 쌍시각목 잎벌레류 (잎 가해)
- ② 솔나방(Dendrolimus spectabilis): 소나무 주요 해충 (잎 식해)
- ③ 참나무재주나방: 참나무류 해충 (잎 식해)
- ④ 박쥐나방: 줄기·수피 가해, 천공성 해충 (잎 가해 아님)
암기팁: 박쥐나방 = 천공성 해충 / 줄기·수피 가해 (잎 아님)
33번 ⭐⭐ (빈출도: 중간)
문제: 잣나무 털녹병의 중간기주에 발생하는 포자형태가 아닌 것은?
보기:
- ① 여름포자
- ② 녹포자
- ③ 겨울포자
- ④ 담자포자
정답: ②
해설:
- 녹병 포자 형태:
- ① 여름포자(Summer spore) - 중간기주에 발생
- ③ 겨울포자(Winter spore) - 중간기주에서 월동
- ④ 담자포자(Basidiospore) - 주기주 재감염
- ② 녹포자(Green spore) - 존재하지 않음 (용어 오류)
- 올바른 포자명: 녹포자 ≠ 여름포자
암기팁: 녹병 포자 = 여름포자 + 겨울포자 + 담자포자 / 녹포자는 오류
34번 ⭐⭐ (빈출도: 중간)
문제: 불리한 환경에 따른 곤충의 활동정지(Quiescence)와 휴면(Diapause)에 대한 설명으로 옳은 것은?
보기:
- ① 일장(日長)은 휴면으로의 진입여부 결정에 중요한 요소는 아니다.
- ② 활동정지는 환경조건이 호전되면 곧 발육이 재개된다.
- ③ 의무적 휴면의 예는 흰불나방에서 찾아볼 수 있다.
- ④ 기회적 휴면은 1년에 한 세대만 발생하는 곤충이 갖는다.
정답: ②
해설:
- 활동정지(Quiescence): 환경 악화로 일시 정지 → 조건 개선되면 즉시 재개
- 휴면(Diapause): 생리적 휴면 상태 → 환경 개선 후에도 일정 기간 필요
- ① 틀림: 일장은 중요한 휴면 결정 요소
- ③ 틀림: 흰불나방은 기회적 휴면 (필수 아님)
- ④ 틀림: 기회적 휴면은 여러 세대 가능
암기팁: 활동정지 = 즉시 재개 / 휴면 = 지연 필요 / 일장 = 중요 신호
35번 ⭐⭐⭐ (빈출도: 높음)
문제: 참나무 시들음병에 대한 설명으로 틀린 것은?
보기:
- ① 매개충은 광릉긴나무좀이다.
- ② 피해목은 초가을에 모든 잎이 낙엽된다.
- ③ 피해목의 변재부는 병원균에 의하여 변색된다.
- ④ 매개충의 암컷등판에는 곰팡이를 넣는 균낭이 있다.
정답: ②
해설:
- 참나무시들음병: Raffaelia과 Pesotum 균에 의한 병
- ① 맞음: 매개충은 광릉긴나무좀(Xyleborinus saxesenii)
- ③ 맞음: 변재가 갈색으로 변색
- ④ 맞음: 암컷 등판에 균낭(mycanetangium) 있음
- ② 틀림: 늦여름~초가을에 낙엽 (초가을 아님)
암기팁: 참나무시들음병 = 광릉긴나무좀 매개 / 균낭 있는 암컷
36번 ⭐⭐ (빈출도: 중간)
문제: 임연부(Forest Edge)에 대한 설명으로 틀린 것은?
보기:
- ① 햇빛이 잘 들기 때문에 종자와 과실의 생산량이 많다.
- ② 산림과 다른 환경 유형이 인접하는 곳을 임연부라 한다.
- ③ 고라니나 노루는 임연부 환경을 선호한다.
- ④ 임연부의 무성한 관목으로 인해 둥지를 만들기 어렵다.
정답: ④
해설:
- 임연부: 산림 가장자리, 생태 다양성 높음
- ① 맞음: 햇빛 → 종자·과실 생산 증가
- ② 맞음: 임연부의 정의
- ③ 맞음: 야생동물이 선호하는 환경
- ④ 틀림: 임연부의 관목과 관목 사이 공간이 둥지 건설에 유리
- 다양한 새들의 번식지
암기팁: 임연부 = 생태다양성↑ / 동물 선호, 둥지 건설 용이 (어려움 아님)
37번 ⭐⭐ (빈출도: 중간)
문제: 포스팜 50% 액체 50cc를 포스팜 농도 0.5%로 희석하려고 할 경우 요구되는 물의 양은?(단, 원액의 비중은 1이다.)
보기:
- ① 4,500cc
- ② 4,950cc
- ③ 5,500cc
- ④ 6,000cc
정답: ②
해설: 희석 공식: C₁V₁ = C₂V₂ (용질 양 보존)
- C₁ = 50% (원액 농도)
- V₁ = 50cc (원액량)
- C₂ = 0.5% (희석액 농도)
- V₂ = ? (희석액 총량)
계산:
- 50 × 50 = 0.5 × V₂
- 2,500 = 0.5 × V₂
- V₂ = 5,000cc (희석액 총량)
요구 물의 양 = 5,000 - 50 = 4,950cc
암기팁: 희석 공식 = C₁V₁ = C₂V₂ / 물의 양 = 최종량 - 원액량
38번 ⭐⭐⭐ (빈출도: 높음)
문제: 다음 중 물에 타서 사용하는 약제가 아닌 것은?
보기:
- ① 액제
- ② 분제
- ③ 유제
- ④ 수화제
정답: ②
해설:
- 농약 제형 분류:
- ① 액제: 물에 희석 사용 (물에 푼다)
- ③ 유제: 물에 유화하여 사용 (물에 탄다)
- ④ 수화제: 물에 현탁하여 사용 (물에 탄다)
- ② 분제: 물에 타지 않음, 분말 상태로 직접 살포
암기팁: 분제 = 물 불필요 / 액제·유제·수화제 = 물 필요
39번 ⭐⭐⭐ (빈출도: 높음)
문제: 다음 중 나무좀, 하늘소, 바구미 등과 같은 천공성 해충을 방제하는 데 가장 적합한 방법은?
보기:
- ① 경운법
- ② 훈증법
- ③ 온도처리법
- ④ 번식장소 유살법
정답: ④
해설:
- 천공성 해충(나무좀, 하늘소, 바구미): 줄기 내부 피해
- 방제법:
- ① 경운법: 토양 해충 (천공성 아님)
- ② 훈증법: 저장 산물 (목재 내부 해충 도달 어려움)
- ③ 온도처리법: 목재 처리용
- ④ 번식장소 유살법: 피해목 제거로 번식지 차단 (가장 효과적)
암기팁: 천공성 해충 = 번식장소 제거 / 피해목, 임목 방제가 최우선
40번 ⭐⭐ (빈출도: 중간)
문제: 솔노랑잎벌의 월동 형태로 맞는 것은?
보기:
- ① 성충
- ② 번데기
- ③ 유충
- ④ 알
정답: ④
해설:
- 솔노랑잎벌(Craesus septentrionalis): 소나무 주요 해충
- 월동형태: 알로 월동
- 월동장소: 가지, 줄기 (짝짓기 후 산란)
- 봄에 알이 부화하여 유충으로 잎 식해
- 연 2회 발생
암기팁: 솔노랑잎벌 = 알 월동 / 봄 부화 후 유충 피해
산림기사 2023년 2회 필기 임업경영학 41~60번
41번 ⭐⭐⭐ (빈출도: 높음)
문제: 임업투자 결정과정의 순서로 올바른 것은?
보기:
- ① 현금흐름 추정 → 투자사업의 경제성 평가 → 투자사업 모색 → 투자사업 수행 → 투자사업 재평가
- ② 현금흐름 추정 → 투자사업 모색 → 투자사업의 경제성 평가 → 투자사업 수행 → 투자사업 재평가
- ③ 투자사업 모색 → 현금흐름 추정 → 투자사업의 경제성 평가 → 투자사업 수행 → 투자사업 재평가
- ④ 투자사업 모색 → 현금흐름 추정 → 투자사업의 경제성 평가 → 투자사업 재평가 → 투자사업 수행
정답: ③
해설:
- 투자 결정 프로세스 순서:
- 투자사업 모색 (Identification) - 사업 발굴
- 현금흐름 추정 (Cash flow estimation) - 수익성 계산
- 경제성 평가 (Evaluation) - 타당성 검토
- 투자사업 수행 (Implementation) - 실행
- 투자사업 재평가 (Re-evaluation) - 사후 평가
암기팁: 투자순서 = 모색 → 현금흐름 → 경제성평가 → 수행 → 재평가
42번 ⭐⭐⭐ (빈출도: 높음)
문제: 임업자본 중 유동자본으로 맞는 것은?
보기:
- ① 묘목
- ② 벌목기구
- ③ 기계
- ④ 임도
정답: ①
해설:
- 유동자본(Working capital): 1회의 생산 사이클에서 소모되는 자본
- 고정자본(Fixed capital): 여러 생산 사이클에서 반복 사용
- ① 묘목: 유동자본 (한 번 식재 후 소모)
- ②③④: 모두 고정자본
- 벌목기구: 반복 사용
- 기계: 감가상각 자산
- 임도: 반영구적 시설
암기팁: 유동자본 = 한 사이클에 소모 / 묘목·종자·비료 등 / 고정자본 = 기계·도로·시설
43번 ⭐⭐⭐ (빈출도: 높음)
문제: 취득원가 2,000만원, 잔존가액 80만원인 목재운반용 트럭이 있다. 이 트럭의 총 운행가능거리가 15만km이고 실제 운행거리가 4만km이면, 생산량 비례법에 의한 총감가상각액은?
보기:
- ① 3,120,000원
- ② 4,120,000원
- ③ 5,120,000원
- ④ 6,120,000원
정답: ③
해설:
- 생산량 비례법: 감가상각액 = 감가상각기준액 × (실제 사용량 ÷ 총 사용량)
계산:
- 감가상각기준액 = 취득원가 - 잔존가액 = 20,000,000 - 800,000 = 19,200,000원
- 총감가상각액 = 19,200,000 × (40,000 ÷ 150,000)
- = 19,200,000 × 0.2667
- = 5,120,000원
암기팁: 생산량 비례법 = 감가상각기준액 × (실제 ÷ 총) / 운행거리 비례
44번 ⭐⭐ (빈출도: 중간)
문제: 동령림(同齡林)의 임분구조는 전형적으로 어떤 형태로 나타나는가?
보기:
- ① 역 J자 형태
- ② J자 형태
- ③ W자 형태
- ④ 정규분포 형태
정답: ④
해설:
- 동령림: 거의 같은 나이의 나무들로 구성
- 임분 구조:
- 정규분포 (Normal distribution): 좌우 대칭 종 모양
- 한 번의 조림으로 형성되므로 나이 균일
- 이령림: 역 J자 형태 (다양한 나이)
- 천연림: J자 또는 역 J자 형태
암기팁: 동령림 = 정규분포 종 모양 / 같은 나이 = 균일한 직경 분포
45번 ⭐⭐⭐ (빈출도: 높음)
문제: 산림의 경계선을 명백히 하고 그 면적을 확정하기 위해 실시하는 측량은?
보기:
- ① 주위측량
- ② 시설측량
- ③ 세부측량
- ④ 산림구획측량
정답: ①
해설:
- 산림측량 분류:
- ① 주위측량 (경계측량): 경계선 확정 및 면적 확정
- ② 시설측량: 임도, 방화선 등 설계 및 시공
- ③ 세부측량: 수치지형도 작성
- ④ 산림구획측량: 임분 구획 확정
암기팁: 경계·면적 확정 = 주위측량 / 주변 boundary 측정
46번 ⭐⭐⭐ (빈출도: 높음)
문제: 임목수관이 지상투영면적의 백분율로 나타내는 임분밀도의 척도는?
보기:
- ① 상대밀도
- ② 임분밀도지수
- ③ 상대공간지수
- ④ 수관경쟁인자
정답: ④
해설:
- 임분밀도 척도:
- ① 상대밀도: 목본수(실제 본수 ÷ 표준 본수) × 100
- ② 임분밀도지수: 흉고단면적 사용
- ③ 상대공간지수: 임목 간 거리 기반
- ④ 수관경쟁인자(Crown Competition Factor, CCF):
- 임목 수관이 지상 투영면적 중 차지하는 비율(%)
- CCF = (임목 수관투영면적의 합 ÷ 지상투영면적) × 100
암기팁: 수관경쟁인자 = 수관 투영율(%) / Crown Coverage
47번 ⭐⭐ (빈출도: 중간)
문제: 자본장비도와 자본효율의 개념을 임업에 도입할 때 자본장비도에 해당하는 것은?
보기:
- ① 임목축적
- ② 생장률
- ③ 소득
- ④ 노동
정답: ①
해설:
- 자본장비도(Capital-labor ratio): 노동 1단위당 투입된 자본액
- 임업에 적용:
- 자본장비도 = 임목축적 (자본의 양적 지표)
- 자본효율 = 생장률 (자본의 질적 지표)
- 임목축적이 많을수록 노동에 투입되는 자본이 많음
암기팁: 자본장비도 = 임목축적 / 량적 지표 / 효율 = 생장률(질적)
48번 ⭐⭐⭐ (빈출도: 높음)
문제: 이령림 경영시스템에서 산림수확조절 방법에서 요구되고 있는 결정인자는?
보기:
- ① 회귀년
- ② 벌기령
- ③ 이용간벌
- ④ 윤벌기
정답: ①
해설:
- 이령림 경영: 여러 나이의 임목 혼재
- 수확조절 결정인자:
- ① 회귀년(Rotation period of harvest): 같은 위치에서 다시 벌기까지 기간
- 이령림에서 필수 결정인자
- ② 벌기령: 동령림 용어
- ③ 이용간벌: 시업 방법
- ④ 윤벌기: 동령림 경영 단위
- ① 회귀년(Rotation period of harvest): 같은 위치에서 다시 벌기까지 기간
암기팁: 이령림 = 회귀년 중심 / 동령림 = 윤벌기·벌기령 중심
49번 ⭐⭐⭐ (빈출도: 높음)
문제: 유령림에서 장령림에 이르는 중간영급(中間令級)의 임목을 평가하는 방법으로 가장 적합한 것은?
보기:
- ① 임목비용가법
- ② 임목기망가법
- ③ 글라제르(Glaser)법
- ④ 임목매매가법
정답: ②
해설:
- 임목 평가 방법:
- ① 임목비용가법: 성숙한 임목 평가 (생산비 기반)
- ② 임목기망가법 (Expectation method):
- 미래 수익을 현재로 할인
- 중간령급(성장 중인 임목) 평가에 최적
- 미래 목재 가치 - 미래 경영비 = 현재가
- ③ 글라제르법: 구체적인 공식 (특정 상황용)
- ④ 임목매매가법: 시장 거래가 기반
암기팁: 중간령급 임목 = 임목기망가법 / 미래 수익 현재가
50번 ⭐⭐ (빈출도: 중간)
문제: 마케팅의 구성 요소 중 야외휴양에 있어서 이용객에게 제공될 휴양기회에 해당하는 요소는?
보기:
- ① 가격
- ② 판촉
- ③ 분배
- ④ 상품
정답: ④
해설:
- 4P 마케팅 믹스:
- ① Price (가격): 이용료 설정
- ② Promotion (판촉): 광고, 홍보
- ③ Place (분배/유통): 접근성, 위치
- ④ Product (상품):
- 실제 제공되는 서비스·기회
- 야외휴양의 경우: 산림욕, 등산로, 휴양시설 등
암기팁: 마케팅 4P = 상품 + 가격 + 분배 + 판촉 / 휴양기회 = 상품
51번 ⭐⭐ (빈출도: 중간)
문제: 산림을 비축적 자산의 하나로 보유하는 산림의 경영형태는?
보기:
- ① 종속적 임업경영
- ② 부차적 임업경영
- ③ 주업적 임업경영
- ④ 가업적 임업경영
정답: ②
해설:
- 경영형태 분류:
- ① 주업적: 산림 경영이 주 소득원 (축적 자산)
- ② 부차적 (부업적):
- 다른 사업의 보조
- 비축적 자산으로 보유
- 토지 자산, 경관 가치 중심
- ③ 종속적: 대소유 산림의 피종속 경영 (과거 용어)
- ④ 가업적: 세대 간 계승
암기팁: 부차적 = 비축적 자산 / 보조 소득 / 주업적 = 축적 자산 중심
52번 ⭐⭐⭐ (빈출도: 높음)
문제: 통나무의 중앙단면적이 0.25m²이고 길이가 15m라고 할 때 이 통나무의 재적을 후버(Huber)식에 의해 구하면 얼마인가?
보기:
- ① 2.25m³
- ② 2.75m³
- ③ 3.25m³
- ④ 3.75m³
정답: ④
해설:
- 후버(Huber) 공식: V = A_m × L
- A_m = 중앙단면적 (통나무 중간 지점의 단면적)
- L = 길이
계산:
- V = 0.25 × 15 = 3.75m³
암기팁: 후버식 = 중앙단면적 × 길이 / 가장 정확한 공식
53번 ⭐⭐ (빈출도: 중간)
문제: 산림문화․휴양에 관한 법률에 따라 자연휴양림 지정을 위한 타당성평가 기준으로 틀린 것은?
보기:
- ① 경관 : 표고차, 임목, 수령, 식물 다양성 및 생육 상태 등이 적정할 것
- ② 위치 : 접근도로 현황 및 인접도시와의 거리 등에 비추어 그 접근성이 용이할 것
- ③ 수계 : 계류 길이, 계류 폭, 수질 및 유수기간 등이 적정할 것
- ④ 휴양요소 : 유용적·문화적 유산, 산림문화자산 및 특산물 등이 다양할 것
정답: ④
해설:
- 자연휴양림 타당성 평가 기준:
- ① 경관: 표고차, 임목, 수령, 생물다양성 (맞음)
- ② 위치: 접근성, 인접 도시 거리 (맞음)
- ③ 수계: 계류 조건 및 수질 (맞음)
- ④ 휴양요소: "생태적·문화적 유산"이 맞음
- "유용적" 표현은 법률 조문에 없음
암기팁: 자연휴양림 기준 = 경관·위치·수계·휴양요소 / 생태적·문화적 유산 중심
54번 ⭐⭐⭐ (빈출도: 높음)
문제: 임업소득의 계산방법 중 옳은 것은?
보기:
- ① 가족노동에 귀속하는 소득=임업소득-(지대+자본이자)
- ② 경영관리에 귀속하는 소득=임업소득-(지대+자본이자)
- ③ 임지에 귀속하는 소득=임업소득-(지대+가족노임추정액)
- ④ 자본에 귀속하는 소득=임업순수익-(지대+자본이자)
정답: ①
해설:
- 임업소득 분배:
- 임업소득 = 지대 + 자본이자 + 가족노임 + 경영관리소득
- 각 귀속소득:
- ① 가족노동소득 = 임업소득 - (지대 + 자본이자) ✓
- ② 경영관리소득 = 임업소득 - (지대 + 자본이자 + 가족노임)
- ③ 임지소득 = 임업소득 - (자본이자 + 가족노임)
- ④ 자본소득 = 임업순수익 - (지대 + 경영비)
암기팁: 가족노동소득 = 총 - (지대+이자) / 경영관리 = 총 - (지대+이자+가족노임)
55번 ⭐⭐⭐ (빈출도: 높음)
문제: 매년 800,000원씩 조림비를 5년간 지불한다면 마지막 지불이 끝났을 때의 유한연년수입의 후가합계식을 이용하여 후가를 계산하면 약 얼마인가? (단, 이율은 5%이고 1.05⁵=1.2763을 적용한다.)
보기:
- ① 4,420,800원
- ② 4,420,000원
- ③ 5,526,000원
- ④ 5,700,000원
정답: ①
해설:
- 유한연년수입의 후가합계식:
- FV = A × [(1+r)ⁿ - 1] / r
- A = 매년 지불액 = 800,000원
- r = 이율 = 0.05
- n = 년수 = 5년
계산:
- FV = 800,000 × [(1.05⁵ - 1) / 0.05]
- = 800,000 × [(1.2763 - 1) / 0.05]
- = 800,000 × [0.2763 / 0.05]
- = 800,000 × 5.526
- = 4,420,800원
암기팁: 후가합계식 = A × [(1+r)ⁿ - 1] / r / 연금의 미래가
56번 ⭐⭐ (빈출도: 중간)
문제: 임지의 평가에서 똑같은 산림경영패턴이 영구히 반복된다는 것을 가정한 평가법은?
보기:
- ① 임지비용가법
- ② 임지기망가법
- ③ 임지예상가법
- ④ 임지매매가법
정답: ②
해설:
- 임지 평가 방법:
- ① 임지비용가법: 과거 투입 비용 기반 (취득원가)
- ② 임지기망가법 (Expectation value):
- 동일한 경영 패턴 영구 반복 가정
- 무한 연년 수입 현재가
- 공식: V = A / r (A: 매년 수익, r: 이율)
- ③ 임지예상가법: 미래 기대 수익 기반
- ④ 임지매매가법: 시장 거래가
암기팁: 임지기망가법 = 영구 반복 + 무한 연년 / V = A/r
57번 ⭐⭐⭐ (빈출도: 높음)
문제: 어떤 임목의 흉고단면적이 0.1m², 수고가 14m일 때 형수법에 의해 이 임목의 재적을 구하면?(단, 형수는 0.4이다.)
보기:
- ① 0.14m³
- ② 0.56m³
- ③ 1.4m³
- ④ 5.6m³
정답: ②
해설:
- 형수법 (Form factor method):
- V = G × H × f
- G = 흉고단면적 = 0.1m²
- H = 수고 = 14m
- f = 형수 = 0.4
계산:
- V = 0.1 × 14 × 0.4
- = 1.4 × 0.4
- = 0.56m³
암기팁: 형수법 = 흉고단면적 × 수고 × 형수 / 원통 부피(G×H)에 형수 적용
58번 ⭐⭐ (빈출도: 중간)
문제: 산림문화 ․ 휴양에 관한 법률에 규정된 자연휴양림 지정 타당성 평가기준으로 틀린 것은?
보기:
- ① 경관
- ② 수계
- ③ 이용자 만족도
- ④ 휴양요소
정답: ④
해설:
- 자연휴양림 타당성 평가 기준 (법정 기준):
- ① 경관: O
- ② 수계: O
- ③ 이용자 만족도: O (시설 후 평가 항목)
- ④ 휴양요소: 법정 기준이 아님
- 실제 법정 기준: 경관, 위치, 수계, 접근성
암기팁: 자연휴양림 법정 기준 = 경관 + 수계 + 위치(접근성) / 휴양요소는 비법정
59번 ⭐⭐ (빈출도: 중간)
문제: 국유림 경영의 주목표가 아닌 것은?
보기:
- ① 보호기능
- ② 임산물 생산기능
- ③ 휴양 및 문화기능
- ④ 지속성 및 경제성
정답: ④
해설:
- 국유림 경영의 목표:
- ① 보호기능: 수원 함양, 산사태 방지 등
- ② 임산물 생산: 목재, 수실 등 생산
- ③ 휴양·문화: 산림문화, 힐링 기능
- ④ 지속성 및 경제성: 이는 경영 원칙
- 목표가 아니라 목표 달성을 위한 원칙
암기팁: 국유림 목표 = 보호 + 생산 + 휴양·문화 / 지속성은 원칙(목표 아님)
60번 ⭐⭐ (빈출도: 중간)
문제: 다음 수확조정기법 중 생장량법에 속하지 않는 것은?
보기:
- ① 생장률법
- ② 조사법
- ③ Bekmann법
- ④ Martin법
정답: ③
해설:
- 수확조정기법 분류:
생장량법:
- ① 생장률법(Growth percentage method): 생장률 기반 수확량 결정
- ② 조사법: 생장량을 직접 조사로 파악
- ④ Martin법: 생장량 기반 수확 계획
축적법 (생장량법 외):
- ③ Bekmann법: 누가 축적 기반 수확량 조절
- 증가액 조정법, 축적 변동 기반
암기팁: Bekmann = 축적법 (축적 변동 감시) / 생장량법 아님
산림기사 2023년 2회 필기 임도공학 61~80번
61번 ⭐⭐ (빈출도: 중간)
문제: 다음 중 임도설계시 곡선설정법이 아닌 것은?
보기:
- ① 교각법
- ② 편각법
- ③ 진출법
- ④ 교회법
정답: ④
해설:
- 곡선설정법:
- ① 교각법: 교점의 각도로 곡선 설정
- ② 편각법(Deflection angle): 직선의 방향 변화각으로 결정
- ③ 진출법(Chord method): 현의 길이로 곡선 설정
- ④ 교회법: 존재하지 않는 방법
- 곡선설정의 기본 3가지: 교각법, 편각법, 진출법
암기팁: 곡선설정법 3가지 = 교각 + 편각 + 진출 / 교회법은 오답
62번 ⭐⭐ (빈출도: 중간)
문제: 지반조사에 이용되는 것이 아닌 것은?
보기:
- ① 오거 보링(Auger Boring)
- ② 관입(貫入) 시험
- ③ 케이슨 공법
- ④ 파이프 때려박기
정답: ③
해설:
- 지반조사 방법:
- ① 오거 보링: 회전식 천공으로 토양 샘플 채취
- ② 관입시험(Penetration test): 관을 때려 박아 지반의 견고도 측정
- ④ 파이프 때려박기(Dynamic probing): 관입시험의 한 종류
- ③ 케이슨 공법:
- 지반 위에 침하시키며 굴착하는 시공 방법
- 지반조사 방법이 아님 (구조물 기초 시공)
암기팁: 케이슨 = 시공 공법 (기초 시공) / 조사 방법 아님
63번 ⭐⭐⭐ (빈출도: 높음)
문제: 임도의 주된 역할 및 효용으로 볼 수 없는 것은?
보기:
- ① 지역진흥
- ② 산림생태계 보전 및 미적 경관의 증진
- ③ 임업 ․ 임산업의 진흥
- ④ 삼림의 공익적 기능의 고도 발휘
정답: ②
해설:
- 임도의 역할:
- ① 지역진흥: 경제 활성화, 관광 개발
- ③ 임업·임산업 진흥: 목재 운반, 생산성 향상
- ④ 공익적 기능: 산림보호, 방화선 기능
- ② 산림생태계 보전 (X):
- 임도는 산림 분단 및 훼손 유발
- 생태계 보전과는 상충
- 오히려 환경영향 고려 필요
암기팁: 임도 = 진흥·공익기능 역할 / 생태계는 부정적 영향 가능
64번 ⭐⭐⭐ (빈출도: 높음)
문제: 경사면과 임도 시공기면과의 교차선으로 임도시공시 절토와 성토작업을 구분하는 경계선은?
보기:
- ① 중심선
- ② 시공선
- ③ 곡선시점
- ④ 영선
정답: ④
해설:
- 임도 구조 용어:
- ① 중심선(Center line): 임도 설계 중심
- ② 시공선(Grade line): 지표면과 임도면의 경계
- ③ 곡선시점: 곡선의 시작점
- ④ 영선(Critical line):
- 원래 지표면과 임도 시공면의 교차선
- 절토/성토 구분의 경계
- 영선 위쪽: 절토(cut)
- 영선 아래쪽: 성토(fill)
암기팁: 영선 = 절토·성토 분계선 / 원지표와 시공면 교선
65번 ⭐⭐⭐ (빈출도: 높음)
문제: 임도 종단면도는 종단측량 결과에 의거 수평축척과 수직축척을 표시하여 제도하는데 옳은 축척은?
보기:
- ① 수평축척은 1 : 1,000, 수직축척은 1 : 200
- ② 수평축척은 1 : 200, 수직축척은 1 : 1,200
- ③ 수평축척은 1 : 1,000, 수직축척은 1 : 100
- ④ 수평축척은 1 : 100, 수직축척은 1 : 1,000
정답: ①
해설:
- 종단면도 축척:
- 수평축척: 1 : 1,000 (거리 표현)
- 수직축척: 1 : 200 (고저차 강조)
- 수직축척을 더 크게 (1:200) 해야 고저 변화가 명확하게 보임
- 수평축척과 수직축척의 비: 1:5
암기팁: 종단면도 = 수평 1:1,000 + 수직 1:200 / 수직이 5배 크게
66번 ⭐⭐⭐ (빈출도: 높음)
문제: 다음 중 고저측량에 대한 설명으로 틀린 것은?
보기:
- ① 전시(F.S)와 후시(B.S)가 모두 있는 측점을 이기점(T.P)이라 한다.
- ② 기계고(I.H)는 지반고(G.H) + 후시(B.S)이다.
- ③ 기점과 최종점의 고저차는 후시의 합계 + 이기점의 전시의 합계이다.
- ④ 지반고(G.H)는 기계고(I.H) - 전시(F.S)이다.
정답: ③
해설:
- 고저측량(Leveling) 용어:
- F.S(전시): 기계에서 미지점으로 측정
- B.S(후시): 기계에서 기준점으로 측정
- I.H(기계고): 기계 높이 = 기준점 G.H + B.S
- T.P(이기점): F.S와 B.S 모두 있는 점
- ① 맞음: T.P의 정의
- ② 맞음: I.H = G.H + B.S
- ④ 맞음: G.H = I.H - F.S
- ③ 틀림: 고저차 = 후시의 합 - 전시의 합
- (후시 + 이기점의 전시가 아님)
암기팁: 고저차 = ΣB.S - ΣF.S / I.H = G.H + B.S / G.H = I.H - F.S
67번 ⭐⭐⭐ (빈출도: 높음)
문제: 임도에 횡단배수구를 설치할 때 검토해야 할 사항으로 틀린 것은?
보기:
- ① 유역의 강우강도
- ② 임도의 종단물매
- ③ 노상의 토질
- ④ 돌림수로의 상태
정답: ④
해설:
- 횡단배수구 설치 시 고려 사항:
- ① 유역의 강우강도: 필수 (유량 계산 기준)
- ② 종단물매: 필수 (수흐름 방향, 유속 결정)
- ③ 노상 토질: 필수 (침투·침식 고려)
- ④ 돌림수로의 상태: 횡단배수구 설치와 무관
- 돌림수로는 횡단배수구 다음 단계의 배수시설
- 설치 검토 시 필요 없음
암기팁: 횡단배수구 = 강우강도 + 종단물매 + 토질 / 돌림수로는 별개
68번 ⭐⭐⭐ (빈출도: 높음)
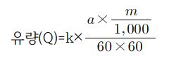
문제: 다음 유량 계산식에서 m이 의미하는 것은? 유량(Q) = k × 면적(A) × 강우강도(I) / m

보기:
- ① 유역면적(m²)
- ② 최대시우량(mm/시간)
- ③ 유출계수
- ④ 평균유속(m/s)
정답: ②
해설:
- 우량법(시우량법)에 의한 유량 계산:
- Q = A × I × (k/m)
- 또는 Q = (A × I) / m (정규화 형태)
- A = 유역면적(m²)
- I = 최대시우량(mm/h)
- k = 단위 계수 (= 1/360)
- m = 최대시우량(mm/h) (또는 유출 가능 최대 우량)
정확한 공식:
- Q(m³/s) = (A × I × C) / 360
- m은 유출계수 또는 보정값으로도 사용
암기팁: 유량 = 유역면적 × 강우강도 / m에서 m = 최대시우량(강우강도)
69번 ⭐⭐⭐ (빈출도: 높음)
문제: 와이어로프의 용도별 안전계수 중 가공본줄의 안전계수는?
보기:
- ① 2.7 이상
- ② 4.0 이상
- ③ 4.7 이상
- ④ 6.0 이상
정답: ③
해설:
- 와이어로프 안전계수 (로프의 파단력 ÷ 작용력):
- 가공본줄(Main cable): 4.7 이상 (주 작용 부분)
- 보조줄(Auxiliary cable): 2.7 이상
- 로프는 용도에 따라 안전계수 다름
- 가공본줄이 가장 높은 안전율 요구
암기팁: 가공본줄 = 4.7 이상 / 안전율 높음 / 보조줄 = 2.7 이상
70번 ⭐⭐⭐ (빈출도: 높음)
문제: 환경보전을 고려한 경제적이고, 효율적인 임도를 개설하기 위하여 적정한 노선을 선택하고자 임도노선 흐름도를 작성하려고 한다. 노선 흐름도의 작성 순서로서 가장 적절히 나열된 것은?
보기:
- ① 지형도 → 현지측정 → 노선선정 → 예정선의 기입 → 개략설계
- ② 지형도 → 예정선의 기입 → 노선선정 → 현지측정 → 개략설계
- ③ 지형도 → 예정선의 기입 → 현지측정 → 노선선정 → 개략설계
- ④ 지형도 → 개략설계 → 노선선정 → 현지측정 → 예정선의 기입
정답: ②
해설:
- 임도 노선 흐름도 작성 순서:
- 지형도 (기본 자료 준비)
- 예정선의 기입 (지형도에 임도 노선 그리기)
- 노선선정 (여러 예정선 중 최적 선택)
- 현지측정 (선정된 노선 실제 측량)
- 개략설계 (측량 결과로 설계 수립)
암기팁: 임도 노선순서 = 지형도 → 예정선 → 선정 → 현지측정 → 설계
71번 ⭐⭐ (빈출도: 중간)
문제: 블레이드면의 방향이 진행방향의 중심선에 대하여 20~30°의 경사가 진 도저의 종류는?
보기:
- ① 트리불도저
- ② 스트레이트도저
- ③ 앵글도저
- ④ 틸트도저
정답: ③
해설:
- 도저의 종류 (블레이드 형태별):
- ① 트리불도저(Tri-bull): U자형 블레이드, 토사 적재 용량 증대
- ② 스트레이트도저(Straight dozer): 블레이드가 중심선에 직각(90°)
- ③ 앵글도저(Angle dozer): 블레이드가 20~30° 경사, 한쪽으로 토사 배출
- ④ 틸트도저(Tilt dozer): 블레이드가 수직으로 회전
암기팁: 앵글도저 = 20~30° 경사 / 한쪽 방향 배출 / 스트레이트 = 직각
72번 ⭐⭐⭐ (빈출도: 높음)
문제: 합성물매가 10%이고, 외쪽물매가 6%인 지역의 종단물매는 얼마인가?
보기:
- ① 7%
- ② 8%
- ③ 9%
- ④ 10%
정답: ②
해설:
- 물매 관계식 (피타고라스 정리 적용):
- (합성물매)² = (종단물매)² + (횡단물매)²
- (산개물매, 외쪽물매 등 포함)
계산:
- 10² = (종단물매)² + 6²
- 100 = (종단물매)² + 36
- (종단물매)² = 64
- 종단물매 = 8%
암기팁: 합성물매 = √(종단² + 횡단²) / 10² = 종단² + 6² → 종단 = 8%
73번 ⭐⭐⭐ (빈출도: 높음)
문제: 반출할 목재의 길이가 20m인 전간목을 너비가 4m인 도로에서 트레일러로 운반할 때 최소곡선반지름은 몇 m로 하여야 하는가?
보기:
- ① 20m
- ② 25m
- ③ 30m
- ④ 35m
정답: ②
해설:
- 곡선반지름 계산 (트럭이 회전할 때 필요한 최소 반지름):
- 최소곡선반지름 = (목재 길이 + 도로 너비) ÷ 2 + 도로 너비
또는 간편 공식:
- 최소곡선반지름 = (L + W) × W / 2
- L = 목재 길이 = 20m
- W = 도로 너비 = 4m
- 반지름 = (20 + 4) × 4 / 2 = 96 / 4 = 24m ≈ 25m
또는:
- 반지름 = 목재길이 + (도로너비 × 1.25) = 20 + 5 = 25m
암기팁: 최소곡선반지름 ≈ 목재길이 + 도로너비 × 1.25
74번 ⭐⭐ (빈출도: 중간)
문제: 측구(콘크리트관)에 흐르는 유적(流積)이 0.35m²이고, 측구를 흐르는 물의 평균 유속이 4m/s일 때 유량을 구하면?
보기:
- ① 1.4m³/s
- ② 2.0m³/s
- ③ 2.8m³/s
- ④ 3.5m³/s
정답: ①
해설:
- 유량(Discharge) 계산 공식:
- Q = A × V
- Q = 유량(m³/s)
- A = 유적(유수 단면적)(m²) = 0.35m²
- V = 평균유속(m/s) = 4m/s
계산:
- Q = 0.35 × 4 = 1.4m³/s
암기팁: 유량 = 단면적 × 평균유속 / Q = A × V
75번 ⭐⭐⭐ (빈출도: 높음)
문제: 도로 양쪽으로부터 임목이 집재되고 도로 양쪽의 면적이 거의 같다고 가정할 때 평균 집재거리는 임도간격의 몇 분의 1에 해당되는가?
보기:
- ① 1/2
- ② 1/3
- ③ 1/4
- ④ 1/5
정답: ③
해설:
- 평균 집재거리 (Average skidding distance):
- 도로 양쪽에서 균등하게 수집할 때
- 평균 집재거리 = 임도간격 / 4
- 또는: 편측에서 수집할 때 = 임도간격 / 2
근거:
- 도로에서 가장 먼 지점 = 임도간격 / 2
- 도로에 가장 가까운 지점 = 0
- 양쪽 평균 = (0 + 1/2 + 0 + 1/2) / 4 = 1/4
암기팁: 양쪽 집재 = 1/4 / 편측 집재 = 1/2 / 임도간격 / 4
76번 ⭐⭐⭐ (빈출도: 높음)
문제: 수준측량에 있어서 측점6의 지반고(m)는 얼마인가?
표:

보기:
- ① 8.838
- ② 8.932
- ③ 9.684
- ④ 9.933
정답: ①
해설:
- 고저측량 계산 절차:
- I.H = G.H + B.S (기계고 = 지반고 + 후시)
- G.H = I.H - F.S (지반고 = 기계고 - 전시)
계산:
- BM 지반고 = 0m (기준)
- I.H₁ = 0 + 2.191 = 2.191m
- G.H₃ = 2.191 - 1.486 = 0.705m
- I.H₃ = 0.705 + 3.019 = 3.724m
- G.H₅ = 3.724 - 2.811 = 0.913m
- I.H₅ = 0.913 + 1.752 = 2.665m
- G.H₆ = 2.665 - 3.817 = -1.152m ❌
재계산 (BM = 10m 가정):
- I.H₁ = 10 + 2.191 = 12.191m
- G.H₃ = 12.191 - 1.486 = 10.705m
- I.H₃ = 10.705 + 3.019 = 13.724m
- G.H₅ = 13.724 - 2.811 = 10.913m
- I.H₅ = 10.913 + 1.752 = 12.665m
- G.H₆ = 12.665 - 3.817 = 8.848m ≈ 8.838m
암기팁: 고저측량 = 누적 계산 / I.H = G.H + B.S / G.H = I.H - F.S
77번 ⭐⭐⭐ (빈출도: 높음)
문제: 임도계획의 순서로 가장 적합한 것은?
보기:
- ① 임도밀도계획 - 임도노선배치계획 - 임도노선선정
- ② 임도노선배치계획 - 임도노선선정 - 임도밀도계획
- ③ 임도밀도계획 - 임도노선선정 - 임도노선배치계획
- ④ 임도노선선정 - 임도노선배치계획 - 임도밀도계획
정답: ①
해설:
- 임도계획 순서:
- 임도밀도계획 (Network density plan)
- 대상 산림의 필요 임도 밀도 결정
- 임도 총 길이 결정
- 임도노선배치계획 (Road alignment plan)
- 임도를 어디에 배치할지 계획
- 지역별 노선 배치
- 임도노선선정 (Route selection)
- 최적 경로 확정
- 상세 설계
- 임도밀도계획 (Network density plan)
암기팁: 임도계획 = 밀도 → 배치 → 선정 / 큰 계획에서 세부로
78번 ⭐⭐⭐ (빈출도: 높음)
문제: 콤파스 측량으로 AB측선의 방위각을 측정하니 50°였다. 역방위각을 구하면 얼마인가?
보기:
- ① 25°
- ② 140°
- ③ 230°
- ④ 320°
정답: ③
해설:
- 역방위각(Back azimuth) 계산:
- 역방위각 = 정방위각 ± 180°
계산:
- 정방위각(A → B) = 50°
- 역방위각(B → A) = 50° + 180° = 230°
- (정방위각이 180° 미만일 때: +180°)
- (정방위각이 180° 이상일 때: -180°)
암기팁: 역방위각 = 정방위각 ± 180° / 50° → 230°
79번 ⭐⭐⭐ (빈출도: 높음)
문제: 임도의 노체를 구성하는 기본적인 구조가 아닌 것은?
보기:
- ① 노상
- ② 기층
- ③ 표층
- ④ 노층
정답: ④
해설:
- 임도의 기본 구조 (상층부터):
- ① 노상(Surface layer): 최상층, 직접 통행면
- ③ 표층(Base course): 중간층, 강도·배수
- ② 기층(Subbase course): 하층, 기초 안정성
- (기층 아래: 지반)
- ④ 노층: 임도 구조 아님
- 존재하지 않는 용어 (혼동 가능)
- 정확한 구조: 노상 → 표층 → 기층 → 지반
암기팁: 임도 3층 = 노상(상) + 표층(중) + 기층(하) / 노층은 구조 아님
80번 ⭐⭐⭐ (빈출도: 높음)
문제: 종단면도에 기록되는 사항 중 옳지 않은 것은?
보기:
- ① 측점
- ② 단면적
- ③ 성토고
- ④ 누가거리
정답: ②
해설:
- 종단면도 기록 사항:
- ① 측점(Station): 측량점 표기
- ③ 성토고/절토고(Fill/Cut height): 높이 표시
- ④ 누가거리(Cumulative distance): 시작점부터의 거리
- ② 단면적(Cross-sectional area):
- 횡단면도에 기록되는 항목
- 종단면도에는 기록 안 함
암기팁: 종단면도 = 측점 + 성토고 + 누가거리 / 단면적은 횡단면도
산림기사 2023년 2회 필기 사방공학 81~100번
81번 ⭐⭐ (빈출도: 중간)
문제: 해안사방 조림용으로 일반적으로 사용되지 않는 수종은?
보기:
- ① 사시나무
- ② 자귀나무
- ③ 느티나무
- ④ 아까시나무
정답: ③
해설:
- 해안사방 조림용 수종 (내염성, 내풍성 강함):
- ① 사시나무(Populus davidiana): 모래 안정화용
- ② 자귀나무(Albizzia julibrissin): 염분 관용력 있음
- ④ 아까시나무(Robinia pseudoacacia): 척박지 적응성 우수
- ③ 느티나무(Zelkova serrata):
- 해안 환경에 부적합
- 내염성 약함
- 일반 산림 조림에만 사용
암기팁: 해안사방 수종 = 사시나무·자귀나무·아까시 / 느티나무는 내염성 약함
82번 ⭐⭐ (빈출도: 중간)
문제: 다음 중 침식의 성질이 다른 것은?
보기:
- ① 가속침식
- ② 자연침식
- ③ 정상침식
- ④ 지질학적 침식
정답: ①
해설:
- 침식의 분류:
속도 기준 침식:
- ③ 정상침식(Normal erosion): 자연 상태의 정상적 침식
- ④ 지질학적 침식(Geological erosion): 역사 지질학적 침식
성질별 침식:
- ② 자연침식: 인간의 간섭 없는 자연 침식
속도 기준 (가속):
- ① 가속침식(Accelerated erosion): 인간 간섭으로 가속되는 침식
- 분류 기준이 다름 (속도 vs 자연/인위)
암기팁: 정상·지질학적 = 자연 기반 / 가속침식 = 인위 가속 / 분류 기준 다름
83번 ⭐⭐ (빈출도: 중간)
문제: 사방녹화용 재래 초본식물은?
보기:
- ① 겨이삭
- ② 오리새
- ③ 매듭풀
- ④ 지팽이풀
정답: ③
해설:
- 사방녹화 초본식물:
재래 식물 (우리나라 자생):
- ③ 매듭풀(Bistorta japonica): 사면 안정화 우수
- ② 오리새: 습지 식물
- ④ 지팽이풀: 산야 초본
외래 식물:
- ① 겨이삭(Alopecurus): 도입 초본
- 매듭풀이 사방녹화에 가장 적합
- 건토 적응력, 근계 발달 우수
- 뿌리로 토양 안정화
암기팁: 매듭풀 = 사방녹화 재래종 / 사면 안정화 우수
84번 ⭐⭐⭐ (빈출도: 높음)
문제: 해안사방의 기본 공종에서 사구(모래언덕) 조성을 위한 공법으로 옳지 않은 것은?
보기:
- ① 파도막이
- ② 모래덮기공법
- ③ 퇴사울타리공법
- ④ 정사울세우기공법
정답: ④
해설:
- 사구 조성 공법:
- ① 파도막이(Wave break): 파도 에너지 감소
- ② 모래덮기공법(Sand covering): 모래 퇴적 촉진
- ③ 퇴사울타리공법(Sand fence): 바람으로 모래 퇴적
- ④ 정사울세우기공법:
- 계류 사방(골짜기 사방)에서 사용
- 해안사방이 아님
- 물흐름 제어용 (토사 방지)
암기팁: 사구 조성 = 파도막이·모래덮기·퇴사울타리 / 정사울은 계류용
85번 ⭐⭐⭐ (빈출도: 높음)
문제: 유수의 교란성에 의한 상향하는 속도 성분에 의하여 유로단면상에서 운반되는 토사로 옳은 것은?
보기:
- ① 소류사
- ② 전동사
- ③ 도동사
- ④ 부유사
정답: ④
해설:
- 토사 운반 형태:
유수 속도에 따른 분류:
- ① 소류사(Bed load): 하상을 구르는 토사 (저속)
- ② 전동사(Rolling load): 하상에서 굴러가는 토사
- ③ 도동사(Saltation load): 튀면서 이동하는 토사
상향 속도 성분 포함:
- ④ 부유사(Suspended load):
- 유수의 상향 난류 속도 성분
- 유로 단면에서 부유 운반
- 미세 입자, 높은 에너지 필요
암기팁: 부유사 = 상향 난류 + 단면 부유 / 미세 입자 운반
86번 ⭐⭐⭐ (빈출도: 높음)
문제: 땅깎기 비탈면의 안정과 녹화를 위한 적용공법에 관한 설명으로 옳지 않은 것은?
보기:
- ① 경암 비탈면은 풍화·낙석 우려가 많으므로 부분 객토 식생공법이 적절하다.
- ② 점질성 비탈면은 표면침식에 약하고 동상·붕락이 많으므로 떼붙이기공법이 적절하다.
- ③ 자갈이 많은 비탈면은 모래가 유실 후 요철면이 생기기 쉬우므로 떼붙이기보다 분사파종공법이 좋다.
- ④ 모래층 비탈면은 절토공사 직후에는 단단한 편이나 건조해지면 붕락되기 쉬우므로 전면적 객토를 요한다.
정답: ①
해설:
- 비탈면 공법 선택:
- ② 점질성: 떼붙이기 ✓ (표면 보호)
- ③ 자갈 많은: 분사파종 ✓ (불규칙 표면)
- ④ 모래층: 전면적 객토 ✓ (건조 시 붕락 방지)
- ① 경암 비탈면:
- 부분 객토는 부적절
- 경암은 내구성 강함
- 전면적 객토식생공법 또는 부분 식생공법 적용
- 낙석 방지는 구조물(낙석방지망) 필요
암기팁: 경암 = 전면 객토 + 식생 / 부분 객토는 부적절
87번 ⭐⭐⭐ (빈출도: 높음)
문제: 유역면적이 30ha이고 최대시우량이 60mm/h인 유역을 대상으로 시우량법에 의한 최대홍수유량(m³/s)은? (단, 유거계수는 0.8로 한다.)
보기:
- ① 0.4
- ② 1.4
- ③ 2.0
- ④ 4.0
정답: ④
해설:
- 우량법(시우량법)에 의한 최대홍수유량 계산:
- Q = (A × I × C) / 360
- Q: 유량(m³/s)
- A: 유역면적(ha) = 30ha
- I: 최대시우량(mm/h) = 60mm/h
- C: 유거계수 = 0.8
- 360: 단위 계수 (ha·mm → m³/s 변환)
계산:
- Q = (30 × 60 × 0.8) / 360
- = (1,440) / 360
- = 4.0 m³/s
암기팁: 유량 = (A × I × C) / 360 / 단위 변환 계수 = 360
88번 ⭐⭐ (빈출도: 중간)
문제: 다음 중 비탈면녹화공법에 해당하지 않는 것은?
보기:
- ① 조공
- ② 사초심기
- ③ 비탈덮기
- ④ 선떼붙이기
정답: ②
해설:
- 비탈면 녹화공법:
- ① 조공(Berming): 계단식 절단 (물 정체 유도)
- ③ 비탈덮기(Slope surfacing): 표면 피복 공법
- ④ 선떼붙이기(Strip sodding): 선형으로 떼 붙임
- ② 사초심기:
- 비탈면 안정화 공법이 아님
- 습지, 계류 변 식생복구 공법
- 일반 비탈면 녹화에 사용 안 함
암기팁: 비탈면 녹화 = 조공·비탈덮기·선떼붙이기 / 사초는 습지용
89번 ⭐⭐⭐ (빈출도: 높음)
문제: 산사태와 비교하였을 때 땅밀림에 대한 설명으로 옳지 않은 것은?
보기:
- ① 이동속도가 빠르다.
- ② 지하수의 영향이 크다.
- ③ 완경사면에서 주로 발생한다.
- ④ 주로 점성토가 미끄럼면으로 활동한다.
정답: ①
해설:
- 산사태 vs 땅밀림:
항목 산사태 땅밀림(크리프)
| 이동속도 | 빠름 | 느림 |
| 지하수 영향 | 크다 | 크다 |
| 발생경사 | 급경사(30~50°) | 완경사(10~20°) |
| 미끄럼면 | 점성토 | 점성토 |
- ① 틀림: 땅밀림은 이동속도가 느림 (mm~cm/년)
- 산사태는 빠름 (m/s)
암기팁: 땅밀림 = 느린 이동 + 완경사 + 점성토 / 산사태 ≠ 땅밀림
90번 ⭐⭐⭐ (빈출도: 높음)
문제: 정사울타리를 설치할 때 표준높이로 옳은 것은?
보기:
- ① 0.5~0.7m
- ② 1.0~1.2m
- ③ 2.0~2.2m
- ④ 2.5~2.7m
정답: ②
해설:
- 정사울타리(Check dam, 계조물):
- 계류(골짜기) 침식 방지 시설
- 표준높이: 1.0~1.2m
- 자갈과 토사 퇴적 유도
- 계상 물매 완화
- 다른 높이 기준:
- 반수울타리: 0.5~0.7m (낮음)
- 돌길막이: 2m 이내
암기팁: 정사울타리 = 1.0~1.2m / 계류 내 토사 퇴적 유도
91번 ⭐⭐ (빈출도: 중간)
문제: 계간사방의 공법으로 짝지어진 것은?
보기:
- ① 흙막이, 바닥막이
- ② 기슭막이, 누구막이
- ③ 누구막이, 흙막이
- ④ 바닥막이, 기슭막이
정답: ④
해설:
- 계간사방(Stream bed stabilization) 공법:
- 계류 중 및 양쪽 설치되는 사방시설
계간 공법 분류:
- ④ 바닥막이(Bottom barrier): 계상 하상 보호
- ④ 기슭막이(Bank barrier): 계곡 옆 사면 보호
- 이 둘이 계간사방의 기본 공법
다른 공법:
- 누구막이(Revetment): 계곡 상단 막이
- 흙막이(Embankment): 산복 토사 방지
암기팁: 계간사방 = 바닥막이 + 기슭막이 / 계열과 계상 보호
92번 ⭐⭐⭐ (빈출도: 높음)
문제: 계간사방공사의 시공목적으로 옳지 않은 것은?
보기:
- ① 유송토사 억제 및 조정
- ② 계류의 수질정화와 산사태 대비
- ③ 산각의 고정과 산복의 붕괴방지
- ④ 계상물매를 완화하여 계류의 침식방지
정답: ②
해설:
- 계간사방공사 목적:
- ① 유송토사 억제 및 조정 ✓
- ③ 산각(계곡) 고정, 산복 붕괴 방지 ✓
- ④ 계상물매 완화로 침식 방지 ✓
- ② 수질정화와 산사태 대비:
- 계간사방의 직접 목적이 아님
- 수질정화는 별도 시설 필요
- 산사태 대비는 산복사방 담당
암기팁: 계간사방 = 토사 조정 + 산각 고정 + 침식방지 / 수질정화·산사태는 별도
93번 ⭐⭐ (빈출도: 중간)
문제: 토사유과구역에 대한 설명으로 맞지 않는 것은?
보기:
- ① 토사생산구역에 접속된 구역이다.
- ② 침식이나 퇴적이 비교적 적다.
- ③ 보통 선상지(扇狀地)를 형성한다.
- ④ 중립지대 또는 무작용지대 등으로 불린다.
정답: ③
해설:
- 산지 토사이동 구역 분류:
구역 특성 지형
| 생산구역 | 침식↑, 토사 발생 | 산지 |
| 유과구역 | 침식·퇴적 적음 | 계류 중상류 |
| 퇴적구역 | 퇴적↑ | 선상지 |
- ③ 틀림: 선상지는 퇴적구역에서 형성
- 유과구역은 단순 통과 (선상지 형성 안 함)
- ①②④ 맞음: 생산구역과 퇴적구역 사이, 침식·퇴적 적음, 중립지대
암기팁: 유과구역 = 생산↔퇴적 중간 / 침식·퇴적 적음 / 선상지는 퇴적구역
94번 ⭐⭐ (빈출도: 중간)
문제: 중력댐의 안정조건으로 거리가 먼 것은?
보기:
- ① 전도에 대한 안정
- ② 활동에 대한 안정
- ③ 홍수에 대한 안정
- ④ 기초지반의 지지력에 대한 안정
정답: ③
해설:
- 중력댐 안정조건 (반드시 검토):
- ① 전도 안정(Overturning stability): 모멘트 균형
- ② 활동 안정(Sliding stability): 전단력 저항
- ④ 지지력 안정(Bearing capacity): 지반 침하 방지
- ③ 홍수에 대한 안정:
- 댐 자체 구조 안정성과 다른 개념
- 호우 대응은 설계 기준(여유고 등)
- 구조 안정 조건이 아님
암기팁: 댐 안정 3조건 = 전도·활동·지지력 / 홍수는 설계 기준
95번 ⭐⭐⭐ (빈출도: 높음)
문제: 산복사방에서 비탈다듬기로 생긴 토사의 활동을 방지하기 위해 설치하는 것은?
보기:
- ① 누구막이
- ② 선떼붙이기
- ③ 땅속흙막이공작물
- ④ 사방댐
정답: ③
해설:
- 산복사방(Mountain slope stabilization):
- 산복(산림 사면) 상단 안정화
비탈다듬기:
- 급경사 사면을 계단식으로 절단
- 토사(절취토) 발생
토사 활동 방지 시설:
- ① 누구막이: 상단 계곡 보호
- ② 선떼붙이기: 식생 방법
- ④ 사방댐: 계류 시설
- ③ 땅속흙막이공작물(Underground barrier):
- 지중 구조물로 토사 활동 차단
- 비탈다듬기 토사 방지에 최적
암기팁: 비탈다듬기 토사 방지 = 땅속흙막이공작물 / 지중 구조
96번 ⭐⭐⭐ (빈출도: 높음)
문제: 해안의 모래언덕 발달순서로 옳은 것은?
보기:
- ① 치올린 모래언덕 → 반월사구 → 설상사구
- ② 반월사구 → 설상사구 → 치올린 모래언덕
- ③ 치올린 모래언덕 → 설상사구 → 반월사구
- ④ 반월사구 → 치올린 모래언덕 → 설상사구
정답: ③
해설:
- 사구(모래언덕) 발달 순서 (풍향·지형에 따른 변화):
- 치올린 모래언덕(Transgressive dune):
- 초기 형성, 모래 이동 활발
- 큰 모래 언덕 형성
- 설상사구(Parabolic dune):
- 식생 활착으로 고정 시작
- 포물선 형태 (U자형)
- 반월사구(Crescent dune):
- 완전 고정, 안정화
- 초승달 형태
순서: 치올린 → 설상 → 반월
- 활동적 → 반활동적 → 고정적 순서
암기팁: 사구 발달 = 치올린(활동) → 설상(반활동) → 반월(안정)
97번 ⭐⭐⭐ (빈출도: 높음)
문제: 돌골막이의 축설 요령에 대한 설명으로 틀린 것은?
보기:
- ① 쌓기 비탈물매는 1 : 0.3으로 한다.
- ② 길이 4~5m, 높이 2m 이내로 축설한다.
- ③ 사방댐과는 달리 대수측만을 설치한다.
- ④ 축설방향은 상류의 유심에 대하여 직각이 되도록 한다.
정답: ③
해설:
- 돌골막이(Rubble revetment/Gabion):
- 계류 변 보호 시설 (식생 미적용)
축설 요령:
- ① 쌓기 비탈물매 1 : 0.3 ✓ (안정성)
- ② 길이 4~5m, 높이 2m 이내 ✓
- ④ 축설방향 상류 유심의 직각 ✓
- ③ 대수측만 설치:
- 틀림: 사방댐과 같이 상류측 + 대수측 모두 설치
- 대수측: 수압 저항
- 상류측: 유사 확산 방지
암기팁: 돌골막이 = 상류측 + 대수측 / 대수측만은 오류
98번 ⭐⭐⭐ (빈출도: 높음)
문제: 등산로 및 주변 환경 훼손상태에 따른 관리대책으로 옳지 않은 것은?
보기:
- ① 등산로의 경미한 물리적 변화가 발생한 경우 현 이용수준이 유지될 수 있도록 한다.
- ② 등산로의 표토층 훼손이 시작되면 등산객의 순환코스 이용을 유도하여 훼손 확산을 방지한다.
- ③ 등산로의 토양침식이 발생하여 지피식생이 고사하는 경우 식생복구 작업을 실시한다.
- ④ 등산로 황폐화가 가속되어 수목의 뿌리가 노출된 경우 나지에 표토 흙을 채워 자연회복되도록 한다.
정답: ④
해설:
- 등산로 훼손 관리 대책 (단계별):
1단계 (경미한 변화):
- ① 현 이용수준 유지 ✓
2단계 (표토층 훼손):
- ② 순환코스·분산 유도 ✓
3단계 (토양침식):
- ③ 식생복구 작업 ✓
4단계 (심각한 황폐):
- ④ 표토 채우기만으로 부족
- 수목 뿌리 노출: 통행 금지 조치 필요
- 노선 변경, 계단 설치, 구조물 시공 필요
- 자연회복은 부적절 (관리 절대 필요)
암기팁: 황폐화 심각 → 표토 채우기 불충분 / 통행금지·노선변경 필요
99번 ⭐⭐ (빈출도: 중간)
문제: 붕괴 현황조사에서 중요시하는 붕괴의 3요소에 해당되지 않는 것은?
보기:
- ① 붕괴 위치
- ② 붕괴 면적
- ③ 붕괴 평균 깊이
- ④ 붕괴 평균 경사각
정답: ①
해설:
- 붕괴 현황조사의 3요소 (붕괴량 산정):
- ② 붕괴 면적(Area): 붕괴 범위
- ③ 붕괴 평균 깊이(Depth): 토사 두께
- ④ 붕괴 평균 경사각(Slope angle): 안정도 평가
붕괴량 계산:
- 붕괴량(m³) = 붕괴 면적(m²) × 평균 깊이(m)
- 경사각으로 보정 가능
- ① 위치:
- 중요하나 정량적 3요소가 아님
- 치수·규모 산정에는 미포함
암기팁: 붕괴 3요소 = 면적·깊이·경사각 / 위치는 정성적
100번 ⭐⭐⭐ (빈출도: 높음)
문제: 비탈면 안정평가를 위해 안전율을 계산하는 방법으로 옳은 것은?
보기:
- ① 비탈의 활동면에 대한 흙의 압축응력을 현재의 전단강도로 나눈 값
- ② 비탈의 활동면에 대한 흙의 전단응력을 현재의 전단강도로 나눈 값
- ③ 비탈의 활동면에 대한 흙의 압축강도를 현재의 압축응력으로 나눈 값
- ④ 비탈의 활동면에 대한 흙의 전단강도를 현재의 전단응력으로 나눈 값
정답: ④
해설:
- 안전율(Safety factor) 정의:
- 저항력(Resisting force) ÷ 작용력(Driving force)
비탈면 안전율:
- F.S = 전단강도 ÷ 전단응력
- F.S = τ_f / τ (저항 ÷ 작용)
각 선택지 검토:
- ① 압축응력/전단강도: 응력과 강도 혼합 (오류)
- ② 전단응력/전단강도: 역 (분자 분모 반대)
- ③ 압축강도/압축응력: 응력과 강도 혼합 (오류)
- ④ 전단강도/전단응력: 정확한 정의 ✓
- 비탈면 활동 저항력 ÷ 활동력
안전율 판정:
- F.S > 1.0: 안정
- F.S = 1.0: 한계
- F.S < 1.0: 불안정
암기팁: 안전율 = 강도(저항) ÷ 응력(작용) / F.S = 전단강도 ÷ 전단응력
'자격증 > 산림기사' 카테고리의 다른 글
| 산림기사 2022년 3회 필기 복원 기출문제 (1) | 2026.01.16 |
|---|---|
| 산림기사 2022년 2회 필기 기출문제 (1) | 2026.01.15 |
| 산림기사 2022년 1회 필기 기출문제 (1) | 2026.01.15 |
| 산림기사 2023년 3회 필기 복원 기출문제 (0) | 2026.01.14 |
| 산림기사 2023년 1회 필기 복원 기출문제 (0) | 2026.01.13 |
| 산림기사 사방공학 필기 핵심 이론 및 기출 유형에 대한 심층 분석 보고서 (1) | 2026.01.08 |
| 산림기사 임도공학 필기 기술적 체계와 실무적용 지침 (1) | 2026.01.07 |
| 산림기사 임업경영학 필기 기출문제 완전 분석 및 핵심 요약 지침 (0) | 2026.01.07 |