
산림 경영 고도화를 위한 임도공학의 기술적 체계와 실무적용 지침
1장. 현대 산림 경영에서 임도의 전략적 가치와 체계적 분류
임도는 산림의 다목적 기능을 최적화하기 위한 가장 기초적이고 필수적인 기반 시설로 정의된다. 단순히 목재를 운반하는 통로를 넘어, 산림의 보호, 관리, 휴양, 그리고 산불 방재와 같은 다양한 공익적 기능을 수행하는 동맥과 같은 역할을 담당한다. 임도공학은 이러한 임도를 지형적, 생태적, 경제적 관점에서 가장 효율적으로 설계하고 시공하며 유지관리하는 기술적 학문이다.
임도의 체계적인 배치는 산림 경영의 성패를 좌우하는 결정적인 인자이다. 임도 노선 배치 계획은 임도 밀도 계획에서 결정된 목표 연장을 바탕으로, 기존의 노선과 신설 노선을 유기적으로 결합하여 최적의 운반망을 구축하는 과정이다. 이 과정에서는 임업 시업 인자뿐만 아니라 실제 시공이 가능한지의 여부와 같은 시공 여건이 정밀하게 검토되어야 한다.
국내 산림 법령에 따른 임도의 기능별 분류는 크게 세 가지로 나뉜다. 첫째, 산림의 간선 역할을 하며 지역과 지역을 연결하거나 대면적 산림을 관리하는 간선임도이다. 둘째, 간선임도에서 분기하여 구체적인 경영 구역으로 진입하는 지선임도이다. 셋째, 실제 벌채나 조림 등 산림 작업의 직접적인 수행을 위해 설치되는 작업임도이다. 이러한 분류는 단순히 명칭의 차이가 아니라 설계 속도, 너비, 기울기 등 기술적 기준의 차등 적용을 의미하며, 이는 산림 관리의 위계질서를 확립하는 근거가 된다.

2장. 임도 밀도 이론과 최적 망 구성의 해석적 접근
임도 밀도는 산림의 단위 면적당 임도의 총연장(m/ha)으로 표시되며, 이는 해당 산림의 경영 집약도를 나타내는 가장 대표적인 양적 지표이다. 임도 밀도가 높을수록 집재 거리가 짧아져 목재 생산 비용은 절감되지만, 임도 개설 및 유지관리 비용은 상승하게 된다. 따라서 이 두 비용의 합계가 최소가 되는 지점을 찾는 것이 임도공학의 경제적 핵심이다.
1-1. 매튜스 식을 이용한 적정 임도 밀도 산출
임도의 최적 밀도를 산출하기 위한 가장 대표적인 해석적 방법은 매튜스(Matthews) 식이다. 이 모델은 예정 노선을 실제로 설계하지 않고도 수리적 계산만으로 이론적인 최적 밀도를 도출할 수 있게 해준다. 매튜스 식의 기본 원리는 집재 비용과 임도 개설 비용의 경제적 균형점을 찾는 데 있다.

위 식에서 D는 적정 임도 밀도(m/ha), K는 집재 단가(원/㎥*m), Q는 ha당 생산 예정 재적(㎥/ha), C는 m당 임도 시설 단가(원/m)를 의미한다. 이 공식은 집재비와 개설비의 합계가 최소화되는 지점을 산출하는 것이 목적이며, 만약 집재 비용이 상승하거나 생산량이 많아질수록 적정 임도 밀도는 높아지는 정비례 관계를 보인다. 실제 계산 예시를 보면, 집재 단가 40만원, 생산 재적 60㎥/ha, 시설 단가 6만원일 때 적정 임도 밀도는 10m/ha로 계산된다.
1-2. 임도 밀도와 집재 거리의 수리적 상관성
임도의 배치는 집재 효율성에 직접적인 영향을 미친다. 임도 밀도가 결정되면 그에 따른 이론적인 임도 간격과 평균 집재 거리를 도출할 수 있다. 임도 간격(A)은 1ha의 면적인 10,000㎡를 임도 밀도(E)로 나눈 값으로 정의된다.
평균 집재 거리는 임도에서 산림 내부의 목재까지의 거리 중 평균적인 값을 의미하며, 지형과 집재 방향에 따라 달라진다. 평지림에서 집재 작업이 임도 양방향에서 균일하게 이루어질 경우, 평균 집재 거리는 임도 간격의 1/4(또는 2,500/E)이 되며, 단방향일 경우에는 임도 간격의 1/2(또는 5,000/E)이 된다.

이러한 수리적 모델은 임도망 배치 모델의 적정성을 분석하는 평가지표로 활용된다. 개발지수는 임도가 얼마나 이상적으로 배치되었는지를 나타내는데, 실제 임도 연장과 이론적 연장의 비율을 통해 산출되며, 이상적인 상태일 때 개발지수는 1에 수렴하게 된다.
3장. 임도 설계의 기술적 절차와 도면 작성 기준
임도 설계는 공학적 판단과 현장 여건의 조화를 요구하는 정밀한 과정이다. 설계의 순서는 예비조사에서 시작하여 답사, 예측, 실측을 거쳐 최종적인 설계도서가 작성되는 체계적인 흐름을 따른다.
3-1. 설계 단계별 업무 특성
1. 예비조사: 지형도 분석, 지질 및 기상 자료 수집, 토양 조사 등을 통해 노선 통과 지역의 개략적인 특성을 파악한다. 이 단계에서는 지적(땅의 경계)보다는 기술적인 시공 여건에 집중한다.
2. 답사: 예비조사에서 선정된 노선을 현장에서 직접 확인하며, 주요 제약 요인이나 구조물 설치 위치를 점검한다.
3. 예측: 간단한 기구를 사용하여 예정 노선을 측량하고 개략적인 도면을 작성하여 설계의 타당성을 검토한다.
4. 실측: 중심선 측량, 종단 및 횡단 측량을 통해 시공에 필요한 정밀한 수치를 획득한다.
5. 설계서 작성: 실측 데이터를 바탕으로 도면을 작성하고, 공사 수량을 산출하며, 공종별 수량과 단가를 곱하여 예산 내역서를 완성한다.
3-2. 설계도면의 규격과 기입 사항
설계도면은 현장 작업자의 시공 지침서 역할을 하므로 법정 축척과 기입 사항을 엄격히 준수해야 한다. 평면도는 노선의 수평적 위치를, 종단면도는 노선의 수직적 높이 변화를, 횡단면도는 도로의 단면 형상을 보여준다.

종단면도는 횡방향과 종방향의 축척을 다르게 설정하여 지형의 기복을 과장함으로써 경사 변화를 명확히 시각화한다. 반면 횡단면도는 1/100의 대축척을 사용하여 세부적인 토공량을 산출할 수 있도록 한다. 흙량(토적)을 정확히 산출하기 위해서는 종단면도와 횡단면도의 데이터가 반드시 상호 참조되어야 한다.
4장. 기하학적 선형 설계의 기술 표준
임도의 선형은 차량의 안전한 주행과 운송 효율을 결정하는 핵심 요소이다. 설계 속도에 따라 종단 기울기, 곡선 반지름, 시거 등의 기준이 상이하게 적용된다.
4-1. 설계 속도와 종단 기울기의 기준
설계 속도는 지형 조건과 임도의 중요도에 따라 결정된다. 간선임도는 시속 40km까지 가능하지만, 지형이 험준한 작업임도의 경우 20km 이하로 제한되기도 한다.

종단 기울기를 급하게 설정하면 노선 거리를 단축하여 우회율을 낮출 수 있으나, 차량의 견인력과 안전을 고려하여 적정 범위를 유지해야 한다. 보통 자동차가 설계 속도의 50~80% 정도로 주행할 수 있도록 설정하며, 교량 구간에서는 특별한 사유가 없는 한 종단 기울기를 적용하지 않는다. 최소 종단 기울기는 노면 배수를 원활히 하기 위해 최소한의 경사를 확보하는 것을 목적으로 한다.
4-2. 평면 곡선의 설계와 배향곡선
임도의 평면 선형에는 단곡선, 반대곡선, 복합곡선 등이 사용된다. 특히 험준한 산악지에서 고도 차이를 극복하기 위해 노선을 지그재그 형태로 굴절시키는 배향곡선(Hair-pin curve)은 매우 중요하다. 배향곡선의 중심선 반지름은 최소 10m 이상을 확보해야 하며, 유효 너비는 일반 구간(3m)보다 넓은 6m 이상으로 설계해야 한다.
평면 곡선 설정 시 두 측선의 내각이 155º 이상으로 완만한 경우에는 곡선을 생략할 수 있다. 또한, 차량의 주행 안전을 위해 곡선부에는 외쪽기울기(편경사)를 설치하여 원심력에 대응하며, 이는 차량의 안전 운행을 돕는 결정적인 요소가 된다.
4-3. 곡선 반지름 산출과 확폭
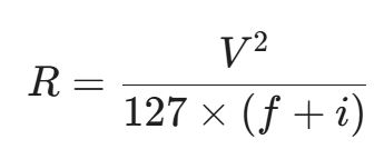
차량의 속도와 노면 마찰을 고려한 최소 곡선 반지름(R)은 다음의 공식으로 도출된다:

여기서 V는 설계 속도, f는 타이어와 노면의 마찰계수, i는 횡단 물매이다. 예를 들어 속도가 20km/h이고 마찰계수가 0.15, 물매가 5%라면 반지름은 약 16m가 필요하다. 또한, 곡선부에서는 차량의 내륜차로 인해 뒷바퀴가 안쪽으로 치우치므로 나비넓힘(확폭)이 필수적이다. 확폭량은 차량 축간거리(L)와 반지름(R)에 따라 L^2÷2R로 계산되며, 축간거리가 6m이고 반지름이 15m인 경우 1.2m를 넓혀주어야 한다.

5장. 임도 측량의 기술적 방법론과 정밀도 관리
임도 측량은 계획된 노선을 지상에 구현하는 과정으로, 평면 위치를 결정하는 다각 측량과 높이를 결정하는 고저 측량으로 구분된다.
5-1. 영선 측량과 중심선 측량의 공학적 차이
임도 공사에서 영선(Zero line)은 시공면과 산지 경사면이 만나는 점을 연결한 선으로, 절토와 성토의 경계선이 된다. 영선 측량은 주로 산악 지형의 급경사지에서 시공의 가이드를 잡기 위해 사용되며, 중심선 측량은 노폭의 1/2 지점을 연결하여 정밀한 설계를 수행할 때 사용된다.
산지 경사가 완만할수록 중심선은 영선보다 안쪽이 아닌 바깥쪽에 위치하게 되며, 평탄지에서는 주로 중심선 측량이 적용된다. 법령상 실시 설계 실측 과정에서는 횡단, 종단, 중심선 측량이 규정되어 있으나 영선 측량은 시공 보조적 수단으로 활용되는 경우가 많다.
5-2. 트래버스(다각) 측량과 폐합 오차 조정
트래버스 측량은 측점들을 굴절된 선으로 연결하여 위치를 파악하는 방법으로, 폐합 트래버스는 출발점으로 다시 돌아와 오차를 점검할 수 있어 소규모 측량에 유리하다.
측선의 위치는 위거(Delta y = L * cos theta)와 경거(Delta x = L * sin theta)를 통해 계산된다. 측량 결과 발생하는 폐합 오차는 컴퍼스 법칙에 따라 각 측선의 길이에 비례하여 배분한다. 예를 들어 전 연장이 100m이고 오차가 20cm라면, 50m 지점의 측점에는 10cm의 오차를 보정한다.
5-3. 수준(고저) 측량의 야장 기록과 계산
고저 측량은 레벨을 사용하여 지점 간의 표고 차를 측정한다. 기고식(Instrumental Height) 야장은 계산이 간편하여 현장에서 널리 쓰인다.
* 기계고(IH) = 지반고(GH) + 후시(BS)
* 지반고(GH) = 기계고(IH) - 전시(FS)
후시는 기지점에 세운 수준척의 읽음값이며, 전시는 높이를 알고자 하는 미지점의 읽음값이다. 시점과 종점의 지반고 차이는 후시의 합과 전시의 합의 차이와 일치해야 한다. 만약 시점 지반고가 100m이고 후시 합이 205.4m, 전시 합이 150.8m라면 고저차는 54.6m이며 종점 지반고는 154.6m가 된다.
6장. 토공사 및 시공 장비의 효율적 운용
임도 시공은 지형을 변형하여 안정적인 노체를 형성하는 과정이다. 이를 위해 흙의 성질을 이해하고 적합한 기계 장비를 선정하는 것이 필수적이다.
6-1. 흙의 공학적 특성과 토량 변화
흙은 자연 상태에서 깎거나 다질 때 부피가 변한다. 이를 토량 변화율이라 하며, 흐트러진 상태의 비율(L)과 다져진 상태의 비율(C)로 구분한다.
* L (Loose): 굴착 후 부피가 늘어나는 비율. 자연 상태 토량을 덤프트럭에 실을 때 고려한다. 경암이 토량 변화가 가장 크다.
* C (Compacted): 다진 후 부피가 줄어드는 비율. 성토 시 필요한 토량을 계산할 때 사용한다.
흙의 다짐 효과를 높이기 위해서는 입도 분포가 좋아야 하며, 이를 균등계수(D_{60}/D_{10})로 평가한다. 실트(Silt) 성분이 많은 흙은 모세관 현상으로 인해 겨울철 동상 현상을 입기 가장 쉬운 토질이다.
6-2. 주요 시공 장비의 기능과 작업 범위
장비의 효율적인 선정은 공기 단축과 직결된다. 정지 작업, 굴착 작업, 다짐 작업에 따라 최적의 장비가 존재한다.

불도저의 리퍼는 암석 굴착에 유용하지만, 화강암이나 안산암 같은 경암 지반에서는 리퍼만으로는 작업이 어렵고 폭약을 병행해야 한다. 하베스터와 프로세서의 차이점은 벌목 기능의 유무에 있으며, 하베스터는 벌목부터 조재까지 전 과정을 수행하는 만능 기계이다.
6-3. 토적 계산과 유토곡선(Mass Curve)
임도 공사에서는 절토량과 성토량의 균형(Mass balance)을 맞추는 것이 중요하다. 토량 산출에는 주로 양단면적평균법이 사용되지만, 실제보다 다소 크게 산출되는 경향이 있어 정밀한 공사비 산정 시에는 중앙단면적법이나 주상제공식을 활용하기도 한다.
유토곡선은 측점별 누적 토량을 그래프로 나타낸 것으로, 흙의 운반 거리와 방향을 결정하는 데 쓰인다. 곡선이 평형선보다 위에 있으면 굴착한 흙을 전방(좌에서 우)으로 운반하여 쌓는다는 것을 의미한다.
7장. 배수 시설 설계와 비탈면 안정 공법
임도의 수명은 물 관리에 달려 있다. 노면을 보호하고 사면 붕괴를 막기 위한 배수 체계는 임도 설계의 핵심이다.
7-1. 노면 배수와 옆도랑
노면의 물은 횡단 기울기(3~5%)를 통해 옆도랑으로 유도된다. 옆도랑은 길어깨와 비탈 사이에 종단 방향으로 설치하며, 퇴적물이 쌓이지 않도록 적정 유속을 유지해야 한다. 횡단 배수구는 옆도랑의 물을 반대편 사면으로 방출하기 위해 설치하며, 보통 100m 간격으로 지름 1,000mm 이상의 관을 사용한다.
7-2. 수리 계산과 통수 단면적
배수 구조물의 크기는 해당 지역의 강우 강도를 바탕으로 결정한다. 산림 관리 시설 기준에 따르면, 배수구의 통수 단면적은 100년 빈도 확률 강우량에 의한 최대 홍수 유출량의 1.2배 이상으로 설계해야 안전성을 확보할 수 있다. 유속 계산에는 매닝(Manning) 공식이 널리 쓰이며, 조도계수는 수로 벽면의 거칠기(목재 < 콘크리트 < 흙 순으로 커짐)에 따라 결정된다.
7-3. 비탈면 보호 및 사면 안정 공법
비탈면은 풍화와 침식에 취약하므로 피복 및 구조적 보강이 필요하다. 절토 사면의 기울기는 토사 1:0.8~1.5, 경암 1:0.3~0.8로 하며, 성토 사면은 1:1.2~2.0을 표준으로 한다.
* 소단(Step): 사면 길이가 길 때 2~3m마다 설치하는 작은 평탄지로, 폭은 0.5~1.0m가 적당하다. 침식 방지와 유지보수용 발판 역할을 한다.
* 산마루 측구: 비탈면 상부에서 유입되는 표면수를 사전에 차단하기 위해 설치하는 돌림수로이다.
* 옹벽(Retaining wall): 토압에 저항하기 위해 설치하며, 전도(넘어짐), 활동(밀림), 침하(내려앉음)에 대해 안전해야 한다.
비탈면 녹화 공법으로는 떼붙이기, 씨앗 뿜어붙이기 등이 있으며, 이는 토양의 긴반력을 높여 안정을 돕는다. 급경사지에서 수목의 무게가 사면을 안정시킨다는 것은 오해이며, 실제로는 뿌리의 결속력이 안정의 핵심이다.
8장. 임도 유지관리 및 경영적 활용
임도는 개설 못지않게 사후 관리가 중요하다. 연 2회 이상의 정기 점검을 통해 노면과 시설물의 상태를 확인해야 한다.
8-1. 유지보수 및 점검 체계
점검 시에는 배수로의 토사 퇴적, 노면의 세굴, 비탈면의 균열 등을 중점적으로 살펴본다. 노체의 지지력이 약화된 경우에는 기층과 표층 재료를 교체하여 보강해야 한다. 장마철 이후에는 소형 백호우 등을 활용하여 배수로의 토사를 신속히 제거하는 것이 2차 피해를 막는 길이다.
8-2. 지형도상 노선 계획법(양각기 계획법)
지형도에서 노선을 계획할 때, 종단 기울기(i)와 등고선 간격(h)을 알면 양각기 폭(도상 거리 d)을 결정할 수 있다.

예를 들어 1/25,000 지형도에서 등고선 간격 10m, 기울기 10% 노선을 긋고자 한다면, 실제 거리는 100m가 필요하며 도상 거리는 4mm가 된다. 실제 지상의 100m는 1/25,000 지도에서 4mm로 나타나는데, 이는 1cm가 250m라는 축척 관계를 이용하면 쉽게 계산할 수 있다.

9장. 목재 생산 시스템과 기계화 집재
임도는 목재 수확 작업의 플랫폼이다. 임도망과 연계된 집재 시스템의 선택은 산림 경영의 수익성을 결정한다.
9-1. 가선집재 시스템의 구성
험준한 지형에서 와이어로프를 이용하여 공중으로 목재를 운반하는 가선집재는 산림 훼손을 최소화하는 방법이다. 본줄(Main line)을 지지하기 위해 설치하는 머리기둥과 꼬리기둥, 그리고 이를 지탱하는 삼각도르래 등이 주요 구성 요소이다. 와이어로프의 안전 계수는 가공본선의 경우 2.7 이상, 작업줄의 경우 4.0 이상을 확보해야 사고를 방지할 수 있다.
9-2. 트랙터 집재와 환경 피해
트랙터나 포워더를 이용한 지면 집재는 가선집재에 비해 능률은 높지만 임지 훼손과 잔존 임분에 대한 피해가 크다. 따라서 임도 밀도가 충분히 확보된 완경사지에서 주로 사용되며, 작업 전에는 벌도목 주위의 위험 요소를 미리 제거하는 등 안전 확보가 선행되어야 한다.
10장. 결론 및 실무적 제언
임도공학은 산림 경영의 효율성과 환경 보존이라는 두 마리 토끼를 잡기 위한 기술적 해답을 제시한다. 본 보고서에서 다룬 매튜스 식에 의한 최적 밀도 산출, 정밀한 기하학적 선형 설계, 그리고 체계적인 배수 및 토공 공법은 견고하고 효율적인 임도 구축의 필수 요건이다.
실무적으로는 단순히 기준 수치를 맞추는 것에 그치지 않고, 현장의 토질과 지형적 특성을 반영한 유연한 설계가 요구된다. 예를 들어, 실트질 토양에서는 배수와 동상 방지에 더 큰 공사비를 투입해야 하며, 급경사지 사면임도에서는 대각선 방식보다 지그재그 방식을 채택하여 경사를 완화하는 지혜가 필요하다.
또한, 하베스터와 포워더 등 고성능 임업 기계의 보급에 맞춰 임도의 유효 너비와 곡선 반지름 기준을 재검토하고, 산림 재해 예방 기능을 강화한 스마트 임도 시스템의 도입을 적극 고려해야 한다. 임도는 산림의 미래 가치를 실현하는 길이며, 그 길의 안전과 효율을 담보하는 임도공학의 원칙은 산림 전문가가 견지해야 할 가장 소중한 자산이다. 본 보고서에 정리된 핵심 이론과 빈출 사례들은 산림 기사 자격 취득을 위한 학습을 넘어, 실제 현장에서 직면하는 기술적 난제를 해결하는 소중한 참고 자료가 될 것이다.
'자격증 > 산림기사' 카테고리의 다른 글
| 산림기사 2023년 3회 필기 복원 기출문제 (0) | 2026.01.14 |
|---|---|
| 산림기사 2023년 2회 필기 복원 기출문제 (0) | 2026.01.14 |
| 산림기사 2023년 1회 필기 복원 기출문제 (0) | 2026.01.13 |
| 산림기사 사방공학 필기 핵심 이론 및 기출 유형에 대한 심층 분석 보고서 (1) | 2026.01.08 |
| 산림기사 임업경영학 필기 기출문제 완전 분석 및 핵심 요약 지침 (0) | 2026.01.07 |
| 산림기사 산림보호학 필기 핵심 이론 및 실무 체계의 심층 분석 보고서 (1) | 2026.01.06 |
| 산림기사 조림학 필기 핵심 이론 및 실무 체계의 심층 분석 보고서 (1) | 2026.01.06 |
| 🏔️ 5과목: 사방공학 (Erosion Control Engineering) 빈출 100문항 완벽 정리 (1) | 2026.01.04 |