2022년 4회 가스기능사 실기 필답
1번. 가스의 성질 분류
- 문제: 보기의 가스들을 성질에 따라 분류하시오.
- 보기: 산소, 암모니아, 일산화탄소, 이산화탄소, 아르곤, 수소, 질소, 에틸렌
- 1) 공기(분자량 29)보다 무거운 가스: 산소(O_2, 32), 이산화탄소(CO_2, 44), 아르곤(Ar, 40)
- 2) 이원자 분자 가스: 산소(O_2), 수소(H_2), 질소(N_2), 일산화탄소(CO)
- 3) 냄새로 알 수 있는 가스: 암모니아(NH_3), 에틸렌(C_2H_4)
- 4) 6대 온실가스: 이산화탄소(CO_2), 메탄(CH_4) 등
- 5) 가연성이면서 독성인 가스: 일산화탄소(CO), 암모니아(NH_3)
- 해설: 가스의 분자량을 계산하여 29보다 크면 무거운 가스이며, 같은 원자 혹은 다른 원자 2개가 결합한 형태를 이원자 분자라고 합니다.
- 암기 팁: **산(32)·이(44)·아(40)**는 공기보다 무겁다! 독성+가연성은 **'일암'**으로 외우세요.
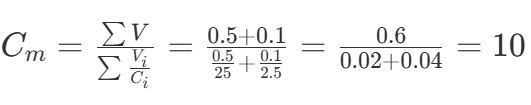
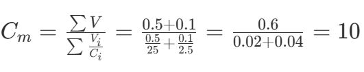
2번. 혼합 독성가스의 허용 농도(TLV) 계산
- 문제: 최적 비율 50%(허용 농도 25ppm)와 10%(2.5ppm)인 가스를 혼합했을 때의 허용 농도를 구하시오.
- 답: 10 ppm
- 해설: 식:
암기 팁: 분자에는 '독성가스 전체 비율', 분모에는 **'각 비율/농도'**를 더한 값을 넣습니다.

3번. 천연가스(NG)를 액화(LNG)시키는 이유
- 문제: 천연가스를 액화시켜 LNG로 만드는 목적을 쓰시오.
- 답: 부피를 약 1/600로 줄여 저장 및 운반을 용이하게 하기 위해
- 해설: 기체 상태보다 액체 상태일 때 부피가 획기적으로 줄어들어 효율적인 관리가 가능해집니다.
- 암기 팁: '부피 600분의 1, 저장·운반 편리' 키워드를 기억하세요.
4번. 물의 전기분해
- 문제: 물을 전기분해했을 때 양극과 음극에서 발생하는 기체를 쓰시오.
- 보기: 물을 전기분해하면 양극에서는 ( 산소 ) 기체가 나오고, 음극에서는 ( 수소 ) 기체가 나온다.
- 답: 양극: 산소(O_2), 음극: 수소(H_2)
- 해설: 물(H_2O)을 분해하면 산소와 수소가 나옵니다.
- 암기 팁: '양산음수' (양극-산소, 음극-수소)로 앞 글자를 따서 외우세요.
5번. 이음매 없는 용기(무계목 용기 Seamless)의 특징
- 문제: 이음매 없는 용기의 특징 2가지를 쓰시오.
- 답:
- 고압을 견딜 수 있어 압축가스 저장에 적합하다.
- 내압에 의한 응력 분포가 균일하다.
- 용접용기에 비해 제작비가 비싸다.
- 두께가 균일하지 못할 수 있다.
- 해설: 용접 부위가 없어 강도가 높고 안전성이 뛰어납니다.
- 암기 팁: '고압용, 응력 균일'
6번. 전기방식법 - 희생양극법
- 문제: 지하 매설 도시가스 배관에 이온화 경향이 큰 금속을 전기적으로 연결하여 배관은 음극이 되도록 하는 전기방식법의 명칭을 쓰시오.
- 답: 희생양극법
- 해설: 마그네슘처럼 전위가 낮은 금속이 배관 대신 부식(희생)되게 하여 배관을 보호합니다.
- 암기 팁: 금속이 배관을 위해 **'희생'**한다고 이해하세요.
7번. 아세틸렌의 폭발 형태
- 문제: 아세틸렌이 가열, 충격 등에 의해 탄소와 수소로 분리되며 폭발하는 명칭을 쓰시오.
- 답: 분해폭발
- 해설: 아세틸렌(C_2H_2)은 외부 에너지에 의해 성분 원소로 분해되며 열을 방출하여 폭발합니다.
- 암기 팁: 가스 이름 그대로 성분이 **'분해'**되어 터지므로 분해폭발입니다.
8번. 내압 시험 - 영구 증가율 계산
- 문제: 내용적 45L 고압가스용기에 수압을 걸어 45.05L가 되었고, 압력 제거 후 45.004L가 되었을 때의
가. 항구 증가율은 얼마인지 구하시오.
나. 합격 여부를 판정하시오. - 답:
- 항구 증가율: 8%
- 합격 여부: 합격
- 해설: 항구 증가율 = (항구 증가량 / 전 증가량) × 100 = (45.004-45/45.05-45) x 100 = (0.004 / 0.05) × 100 = 8%. 기준인 10% 이하이므로 합격입니다.
- 암기 팁: **'남은 양 / 늘어난 양'**이며, 합격 기준은 **10%**입니다.
9번. 웨베 지수(Wobbe Index)
- 문제: 가스의 연소성, 가스의 호환성을 판단하는 지수를 쓰시오.
- 답:
- 명칭: 웨베 지수 (WI)
- 식:
- 해설: 발열량을 비중의 제곱근으로 나눈 값입니다.
- 암기 팁: '발열량 나누기 루트 비중'

10번. 습식 가스미터의 장단점
- 문제: 습식 가스미터의 장점과 단점을 1가지씩 쓰시오.
- 답:
- 장점: 유량이 정확하고 사용 중 오차 변동이 적다.
- 단점: 설치 면적이 크고 수위 조정 등 관리가 필요하다.
- 해설: 물을 채워 사용하므로 정확도는 높으나 관리가 까다롭습니다.
- 암기 팁: '정확하지만(장점) 관리가 귀찮다(단점)'
11번. 가스 공급 시설 - 가스 홀더
- 문제: 가스 시설 중 (가스홀더)설비는 공급압력이 자동으로 제어되어야 하며, 공급가스 성분이 변동되어도 수용가에 일정한 열량을 공급하도록 (가스홀더)설비가 설치되어야 한다.
- 답: 가스 홀더 (Gas Holder)
- 해설: 가스를 일시 저장하면서 성분을 혼합해 일정한 열량을 공급하는 역할을 합니다.
- 암기 팁: 가스를 '홀드(잡고)' 있다가 일정하게 보내주는 장치입니다.
12번. 탄성식 압력계
- 문제: 압력이 변함에 따라서, 금속의 탄성이 변하는 것을 이용한 압력계 종류 2가지를 쓰시오.
- 답: 부르동관식 압력계, 벨로즈식 압력계, 다이어프램식 압력계
- 해설: 압력에 따라 금속이 변형되는 성질을 이용해 측정합니다.
- 암기 팁: '부·벨·다' (부르동관, 벨로즈, 다이어프램) 중 2개를 고르세요.
'자격증 > 가스기능사' 카테고리의 다른 글
| 가스기능사 작업형 2023년 1회 기출문제 (0) | 2026.02.08 |
|---|---|
| 가스기능사 필답형 2023년 1회 기출문제 (0) | 2026.02.08 |
| 가스기능사 작업형 2022년 4회 기출문제 (0) | 2026.02.08 |
| 가스기능사 작업형 2022년 2회 기출문제 (0) | 2026.02.08 |
| 가스기능사 필답형 2022년 2회 기출문제 (1) | 2026.01.20 |
| 가스기능사 작업형 2022년 1회 기출문제 (1) | 2026.01.20 |
| 가스기능사 필답형 2022년 1회 기출문제 (0) | 2026.01.20 |
| 가스기능사 작업형 2021년 4회 기출문제 (0) | 2026.01.19 |